
简介
该用户还未填写简介
擅长的技术栈
可提供的服务
暂无可提供的服务
DELM这个模型,特别适合那些既要准度又要速度的工业场景。笔者在风电功率预测项目实测,比LSTM快20倍的情况下,MAE还低了15%。代码已打包好解压即用,下次遇到老板催预测模型,直接甩这个过去,深藏功与名。深度极限学习机DELM时间序列预测模型单输入单输出时序模型matlab代码该代码包含了模型优化和预测的关键功能,可用于时序预测,代码注释详细,替换数据方便。深度学习增强: DELM 结合了深度

Cruise和Simulink联合仿真,纯电动汽车动力经济性仿真EV模型,内容包括:Cruise整车模型和simuink策略模型,策略主要为BMS、再生制动和电机驱动策略33,模型含具体注释,详细解析文档等,可运行踩下电门时电机瞬间爆发的推背感,在仿真模型里其实是一堆差分方程在疯狂迭代。这次我们拿Cruise和Simulink搞了个纯电车的联合仿真,直接扒开动力系统的裤腰带,看看BMS怎么玩电量平

这里有个骚操作——把网侧电感设为逆变侧电感的20%,既能降低电感总损耗,又能保证足够的谐波衰减。电容值的选取更讲究,得考虑无功功率不超过系统总容量的5%,这个参数跑仿真时母线电压波动控制在3%以内。最近在搞LCL型三相并网逆变器的仿真,发现准PR控制这玩意儿在跟踪交流信号时确实有点东西。今天咱们就扒一扒这个仿真模型的核心细节,手把手看看怎么从参数设计到控制实现,最后验证THD的动态表现。不过要注意

MATLAB/Simulimk光伏发电+boost+储能+双向dcdc+并网逆变器控制(低压用户型电能路由器仿真模型)包含Boost、Buck-boost双向DCDC、并网逆变器三大控制部分boost电路应用mppt,采用扰动观察法实现光能最大功率点跟踪电流环的逆变器控制策略双向dcdc储能系统用来维持直流母线电压恒定运行性能好THD<5% 满足并网运行条件在如今的新能源领域,光伏发电系统的高效运

matlab:双或三方演化博弈,lotka-Volterra 1.双方演化博弈:代分析稳定点分析,代绘制相位图,matlab仿真图代码。matlab:双或三方演化博弈,lotka-Volterra 1.双方演化博弈:代分析稳定点分析,代绘制相位图,matlab仿真图代码。2.三方演化博弈:代分析稳定点分析,代绘制相位图,matlab仿真图代码3.lotka-Volterra模型。2.三方演化博弈:

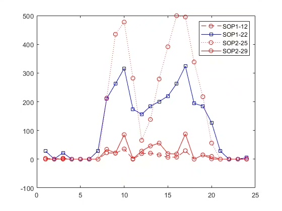
配电网电压与无功协调优化以最小化运行成本(包含开关动作成本、功率损耗成本以及设备运行成本)和电压偏差为目标函数,考虑分布式电源的接入,采用线性化和二次松弛方法,将非凸模型转化为二阶锥规划模型,通过优化变压器分接头位置,电容器接入组数以及sop的输出功率,实现电压与无功控制,并对多个场景进行对比分析。

基于小信号建模的下垂控制稳定分析,文章完全浮现。关键词:微电网,下垂控制,小信号模型,根轨迹,稳定性。

5.2MW永磁风机一次调频并网三机九节点系统,虚拟惯性和下垂控制,也可加入虚拟同步机VSG控制,风电场容量可调,系统频率50Hz,离散模型,仿真运行速度快。风机变流器采用双PWM环设计,并网电压电流稳定。同步机内部参数齐全,已设置好所有参数,可直接运行,风电渗透率可调!注意,非无穷大系统,非系统自带风机!模型自建。后续可加入储能光伏等。目前风机渗透率为20%,风机容量为90MW。单机5.2MW。

CNN-BiLSTM-SelfAttention基于卷积神经网络-双向长短期记忆网络结合自注意力机制的多变量回归预测Matlab语言1.多特征输入,回归也可以换成时间序列单列预测(售前选一种),Matlab版本要在2021a及以上。2.特点:1卷积神经网络(CNN):捕捉数据中的局部模式和特征。2长短期记忆网络(LSTM):处理数据捕捉长期依赖关系。3自注意力机制:为模型提供了对关键信息的聚焦能力

模糊逻辑控制(FLC)Matlab/simulink仿真搭建模型:提供以下帮助波形纪录参考文献仿真文件原理解释电机参数说明仿真原理结构和整体框图。








