
简介
该用户还未填写简介
擅长的技术栈
可提供的服务
暂无可提供的服务
本文仿真模型基于永磁同步电机的双闭环控制结构,包含速度闭环和电流闭环两个控制环。速度闭环采用抗饱和PI控制器,电流闭环采用PI控制器。整个系统采用离散化仿真方法,以更好地反映数字控制系统的特点。在伺服系统中,摩擦力会降低系统的响应速度和精度。通过引入扰动观测器,可以实时观测摩擦力,并将其补偿到系统中,从而提高系统的性能。

基于卷积神经网络的手写数字识别(matlab实现)基于CNN的matlab手写数字识别可以加Lenet-5模型数据集自制数字大小5*5训练过程良好,识别准确率在95%以上(数值+图像)主成分分析提取像素点包含图片输入和手写板输入两种方式加50在机器学习领域,手写数字识别是一个经典的项目。今天,咱们就来聊聊如何用 Matlab 基于卷积神经网络(CNN)实现手写数字识别,并且会用到 Lenet -

车辆线性二,三,四自由度汽车动力学模型稳定性对比仿真【附说明文档】资料:附带对应的建模说明文档和对比分析[1]仿真对比:对不同自由度汽车模型进行了对比,通过将不同自由度模型的对比,研究了二自由汽车操稳性模型的误差,将仿真结果与实际结果进行对比,可以看出不同自由度的汽车操稳性动力学模型在一定的范围内误差并不是很大[2]建模仿真分析:二自由,三自由度和四自由模型的建模过程和解答了如何建立汽车操稳性仿真

双孔扩散模型考虑了煤体中存在的两种孔隙结构,即基质孔隙和裂隙孔隙。瓦斯在这两种孔隙结构中的扩散和流动机制不同。基质孔隙相对较小,瓦斯主要以扩散的方式在其中运移;而裂隙孔隙相对较大,瓦斯主要以渗流的方式流动。时变扩散模型则考虑到扩散系数随时间的变化特性。在煤层瓦斯运移过程中,随着瓦斯的不断解吸和扩散,煤体的孔隙结构等会发生变化,从而导致扩散系数不再是一个固定值。

配电网光伏储能双层优化配置模型(选址定容)配电网光伏储能双层优化配置模型(选址定容),还可以送matpower关键词:选址定容 配电网 光伏储能 双层优化 粒子群算法 多目标粒子群算法 kmeans聚类仿真平台:matlab参考文档:《含高比例可再生能源配电网灵活资源双层优化配置》

主要内容:代码主要做的是家庭能量管理模型,首先构建了电动汽车、空调、热水器以及烘干机等若干家庭用户用电设备的能量管理模型,其次,考虑在分时电价、动态电价以及动态电价下休息日和工作日家庭用户的最优能量管理策略,依次通过CPLEX完成不同场景下居民用电策略的优化,该代码适合新手学习以及在此基础上进行拓展,代码质量非常高,保姆级的注释以及人性化的模块子程序。程序分为三个部分,分别是分时电价下上班族工作日

在时间步长小于td的情况下,判断温度和设定温度之间的差值,根据差值判断是否需要开启空调。22. 第89行:`linp2(1:td-1)=linp(1:td-1)`将linp的前td-1个元素赋值给linp2的前td-1个元素。内容:建立空调负荷的聚合模型,按照第二章考虑调节空调温度对空调响应潜力的影响,程序结果充分说明随着上调温度的增大,响应程度逐渐增大。内容:建立空调负荷的聚合模型,按照第二章考

Simulink三相永磁同步电机EKF与AEKF无传感器控制控制方案电机基于EKF扩展卡尔曼滤波算法和AEKF的永磁同步电机PMSM无传感器矢量控制Simulink仿真模型。1.依据PMSM的数学模型搭建电机模型2.基于 PI 调节器进行双闭环dq解耦控制,转速外环,转矩内环3. EKF和AEKF算法对电机的转子电角度和机械转速进行估算观测器采用静态变量定义编写,易于学习修改。文档详实,代码规范在

散点图[X,Y,Z]=griddata(x,y,z,linspace(min(x),max(x))’,linspace(min(y),max(y)),‘v4’);%散点图[X,Y,Z]=griddata(x,y,z,linspace(min(x),max(x))’,linspace(min(y),max(y)),‘v4’);此时较为复杂,首先需要MATLAB 获取双目的标定结果,利用附带的标定校正

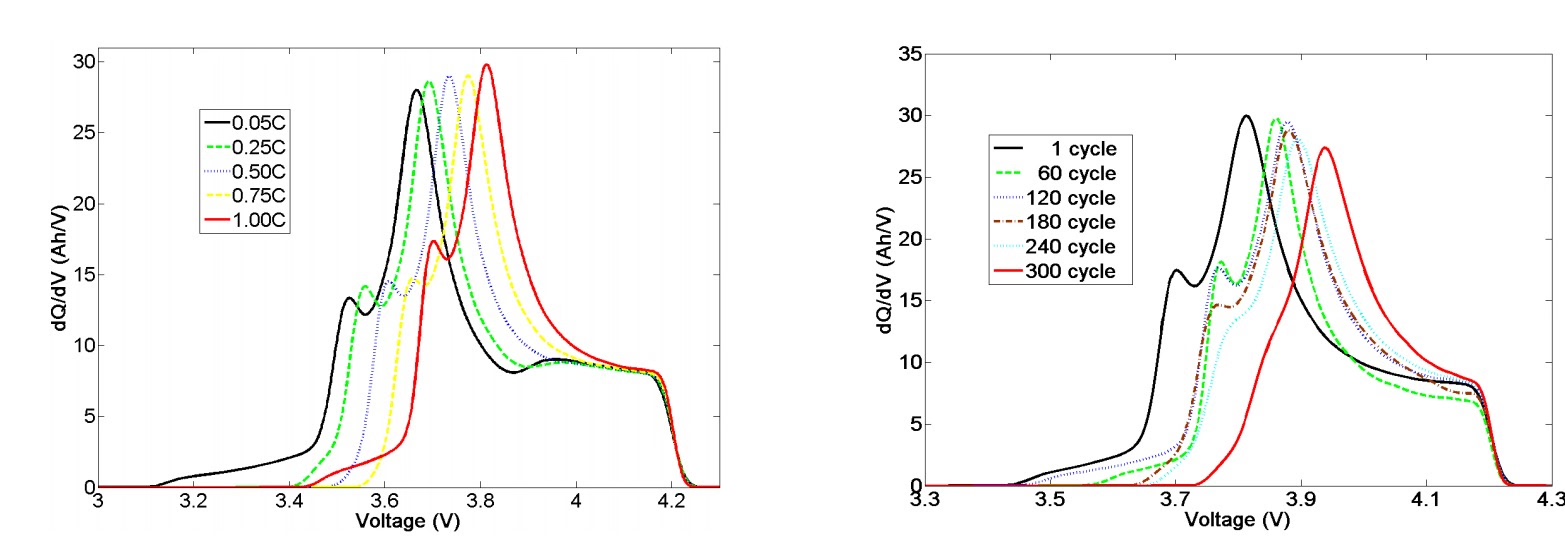
本系统是一套面向锂离子电池健康状态(State of Health, SOH)与剩余使用寿命(Remaining Useful Life, RUL)预测的 MATLAB 实现方案,基于马里兰大学公开电池数据集(Maryland Dataset)开发。系统核心方法融合了增量容量分析(Incremental Capacity Analysis, ICA)与差分电压分析(Differential Vol








