
简介
该用户还未填写简介
擅长的技术栈
可提供的服务
暂无可提供的服务
模型,基于动力学的六自由度机器人阻抗恒力跟踪控制实现,MATLAB代码,可完美运行供研究学习使用,附学习说明文档,零基础勿MATLAB,机器人动力学,恒力控制,六自由度在机器人研究领域,六自由度机器人的控制是一个热门话题,特别是涉及到恒力跟踪控制,对于很多实际应用场景如打磨、装配等至关重要。今天咱们就来聊聊基于动力学的六自由度机器人阻抗恒力跟踪控制在MATLAB中的实现过程。

Matlab/Cplex代码:基于消纳责任权重的两级电力市场优化运行模型参考全球能源互联网的《基于消纳责任权重的两级电力市场优化运行模型》Highlights:省间可再生能源交易,双层优化模型,采用KKT和强对偶化简MPEC模型为MILP本文档针对“基于消纳责任权重的两级电力市场优化运行模型”相关Matlab/Cplex代码(Case1.m、Case2.m、Main.m),从功能定位、核心参数、约

模型架构:采用双层优化,上层PSO优化储能配置(容量、节点),下层CPLEX优化运行策略IEEE33BW.m→main.m→solution.m→fitness.m→main.m,形成闭环优化目标一致性:上下层均以成本最小化为核心目标,确保配置与运行策略协同优化约束体系:涵盖设备物理约束(储能容量、光伏出力)、系统运行约束(潮流、电压)、经济约束(成本构成)

相比传统的神经网络算法,ELM算法不需要迭代调整权值和阈值,而是直接随机初始化权值和阈值,然后通过解析解的方式求解输出权值。相比传统的神经网络算法,ELM算法不需要迭代调整权值和阈值,而是直接随机初始化权值和阈值,然后通过解析解的方式求解输出权值。总之,这段代码是一个基于ELM算法的分类器,通过遗传算法优化模型参数,可以用于解决分类问题。总之,这段代码是一个基于ELM算法的分类器,通过遗传算法优化

MATLAB代码:基于雨流计数法的源-荷-储双层协同优化配置关键词:双层规划 雨流计算法 储能优化配置参考文档:《储能系统容量优化配置及全寿命周期经济性评估方法研究》第三章仿真平台:MATLAB CPLEX主要内容:代码主要做的是一个源荷储优化配置的问题,采用双层优化,外层优化目标的求解依赖于内层优化的储能系统充放电曲线,基于储能系统充放电曲线,采用雨流计数法电池健康状态数学模型,对决策变量储能功

单相Boost升压变换器PI+模型预测控制仿真,电压外环采用PI,电感电流内环采用mpc。运行环境为matlab/simulink/plecs等在电力电子领域,单相Boost升压变换器因其能够将输入电压升高到所需的输出电压,广泛应用于各类电源系统中。今天咱就唠唠如何通过PI控制与模型预测控制(MPC)相结合的方式,对单相Boost升压变换器进行精准控制,并在Matlab/Simulink/PLEC

本文介绍了一个基于C++开发的双目立体匹配三维重建系统,该系统利用OpenCV和OpenGL库实现了从立体图像对到三维场景的重建与可视化。系统支持两种不同的立体匹配算法,能够根据应用场景选择特征点匹配或密集视差图重建,最终通过三角剖分和纹理映射生成真实感的三维模型。

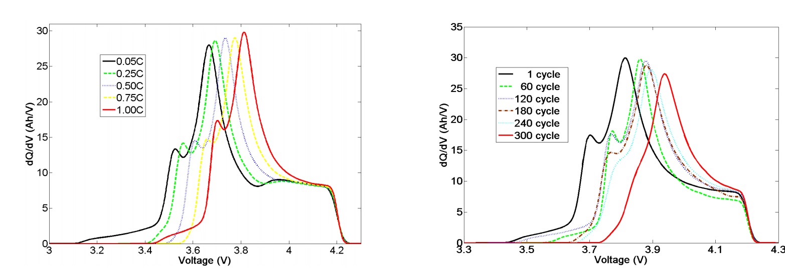
基于增量容量分析(ICA分析)和差分电压分析(DVA分析)的锂离子电池SOH和RUL预测。包括对原始数据的处理、滤波、绘制IC和DV曲线、提取特征、预测模型的构建。

模型架构:采用双层优化,上层PSO优化储能配置(容量、节点),下层CPLEX优化运行策略IEEE33BW.m→main.m→solution.m→fitness.m→main.m,形成闭环优化目标一致性:上下层均以成本最小化为核心目标,确保配置与运行策略协同优化约束体系:涵盖设备物理约束(储能容量、光伏出力)、系统运行约束(潮流、电压)、经济约束(成本构成)

是一个专为离网微电网(off-grid microgrid)终身控制问题设计的开源仿真平台。该平台融合了设备状态估计与不确定性下的运行规划两大核心任务,支持多种智能体(Agent)策略的训练与评估,包括启发式规则、优化方法、监督学习以及主流的强化学习算法(如 DQN、PPO、MCTS 等)。其设计目标是为研究人员和工程师提供一个模块化、可扩展、贴近实际的微电网控制算法测试环境。是一个功能完备、设计








