
简介
该用户还未填写简介
擅长的技术栈
未填写擅长的技术栈
可提供的服务
暂无可提供的服务
【管理运筹学】第 8 章 | 动态规划(2,动态规划的基本思想与模型求解)
通过分阶段求解最短路问题,展示了动态规划方法的基本思想。

【管理运筹学】第 9 章 | 网络计划(2,时间参数的计算 —— 工作时间的确定与事项的时间参数)
介绍了有关工作时间的确定方法以及事项的时间参数。

【考研数学】几个重要定理、结论的证明过程汇总 | 持续更新……
介绍了考研数学中重要定理及结论的证明过程

【考研数学】高等数学第七模块 —— 曲线积分与曲面积分 | 4. 对坐标的曲面积分(第二类曲面积分)与场论初步
介绍了对坐标的曲面积分(第二类曲面积分)的相关内容,包括定义、性质、计算法以及与第一类曲面积分的关系,还介绍了场论的初步内容,包括梯度、旋度、散度、通量以及环流量的内容。

【深度学习】使用块的网络(VGG)
虽然 AlexNet 证明深层神经网络卓有成效,但它没有提供一个通用的模板来指导后续的研究人员设计新的网络。也就是说尽管我知道了更深更大的网络更有效,但是不清楚怎么让它更深更大,从而起到一个更好的效果。于是,研究人员开始从单个神经元的角度思考问题,发展到整个层,现在又转向块,重复层的模式。使用块的想法首先出现在牛津大学的视觉几何组的 VGG 网络中,通过使用循环和子程序,可以很容易地在任何现代深度

【管理运筹学】第 8 章 | 动态规划(5,设备更新问题)
介绍了利用动态规划方法,求解设备更新问题的思路,以及一个详细的算例。

【交通规划原理】第七章——交通方式划分
对交通方式选择的影响因素、方式划分的模型进行了介绍。

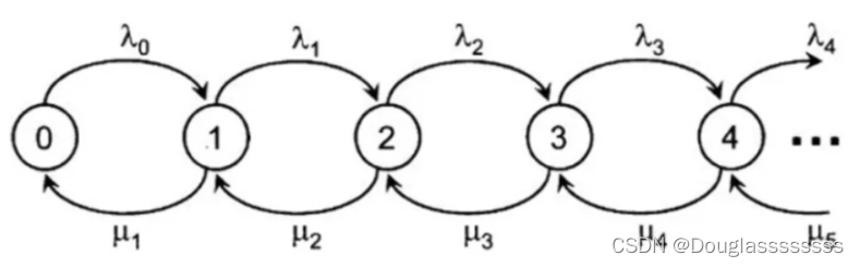
【管理运筹学】第 10 章 | 排队论(3,标准的 M/M/1 排队系统)
对标准的 M/M/1 排队系统进行了介绍,包括模型特征及分析以及各指标的计算公式。

【管理运筹学】第 8 章 | 动态规划(4,生产与储存问题)
对生产计划问题和不确定性的采购问题进行了动态规划建模和求解。

【交通规划原理】第六章——交通分布
对交通分布的一些模型进行了介绍,包括增长系数法、重力模型法、介入机会模型和最大熵法。








