
简介
该用户还未填写简介
擅长的技术栈
可提供的服务
暂无可提供的服务
遇到不收敛的情况,先检查材料单位是否统一(别把MPa和Pa混用),再试试把阻尼系数从默认的0.8降到0.6。(3)工作面充填开采:研究煤层开采后采空区充填与否对上覆岩层的影响特征,包括应力场、位移场和破坏场等等,有充填体,可以研究充填体条件下的围岩变化,也可以删掉充填体研究采空区,根据自己研究内容调整。Flac3d6.0源代码,用于巷道支护,煤层开采和充填,代码可直接导入运行,并有汉语注释说明每句

西门子PLC200smart写的RS485轮询读写两个电压表+控制1个步进轴,程序为产品测试机实际项目,项目包含有plc程序,触摸屏程序,电气图纸,材料清单和设备运行程序,此程序为本人实际工作项目在实际工作中,我参与了一个产品测试机的项目,其中涉及到使用西门子PLC200smart实现RS485轮询读写两个电压表以及控制1个步进轴的功能。这个项目还涵盖了触摸屏程序、电气图纸、材料清单以及设备运行程

14基于扩展卡尔曼滤波和模型预测控制的无人机三维航迹规划障碍避免;UKF;MPC;无参考文献在无人机的飞行世界里,三维航迹规划并有效避开障碍物是至关重要的任务。今天咱们就来聊聊基于扩展卡尔曼滤波(EKF)和模型预测控制(MPC)的实现方法,顺便也提一下无迹卡尔曼滤波(UKF)这个有趣的小伙伴。

DQN算法Q-learning算法让红色方格自己寻找最便捷的路径避开障碍物到达黄色圆圈,非常的智能视频里是DQN的训练过程,全程只需要3分钟Q-learning需要训练半小时在强化学习的世界里,Q - learning和DQN算法就像两颗璀璨的明星,各自闪耀着独特的光芒。今天咱们就通过一个有趣的例子,看看它们如何各显神通。想象有一个场景,红色方格要在布满障碍物的环境中,找到一条最便捷的路径,最终抵

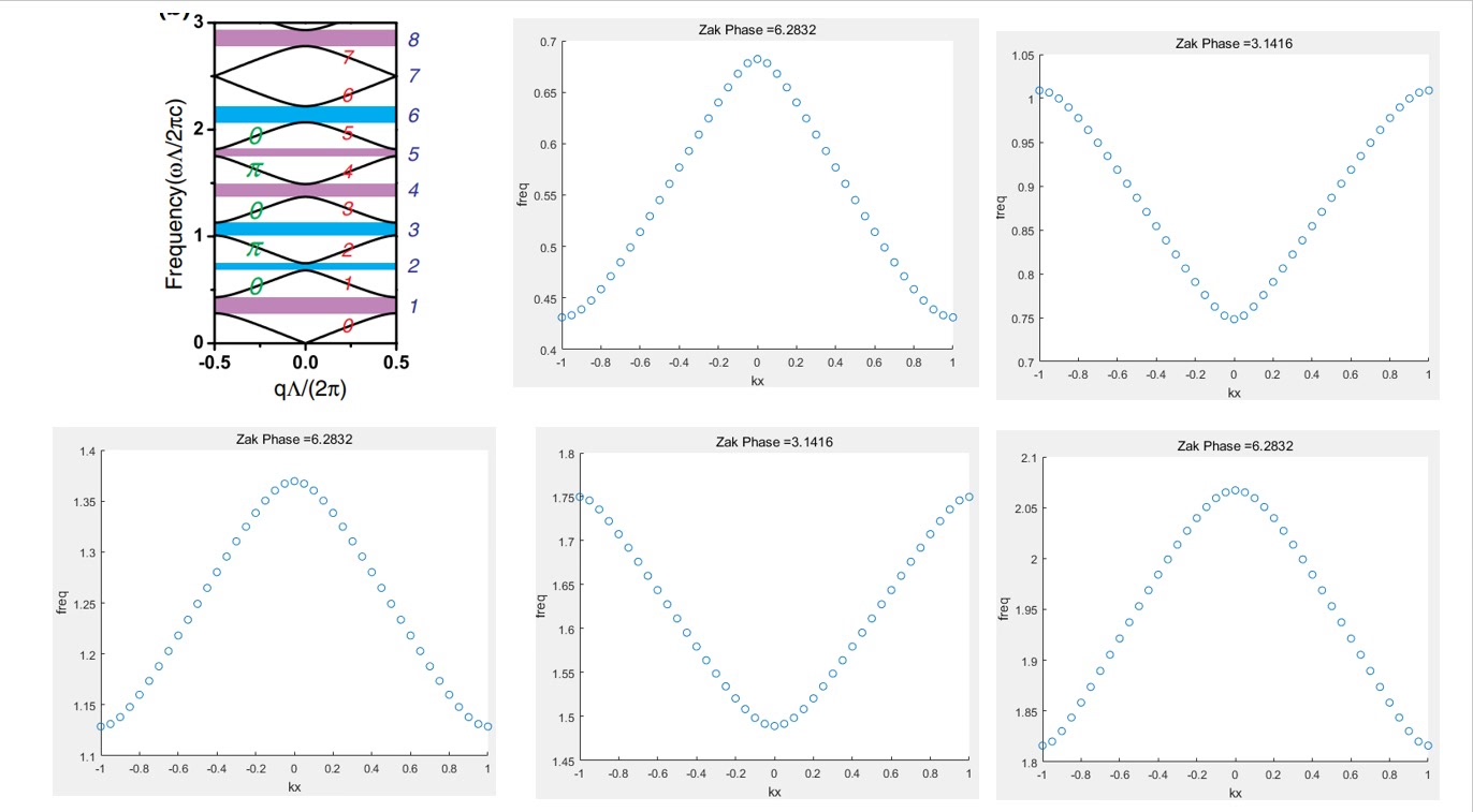
材料交替堆叠的介电常数要严格对应文献参数,这里有个骚操作:用矩形函数定义空间依赖的ε分布,比手动画几何省事十倍。如果算出0.5π这种妖孽值,先检查本征矢量的归一化是否正确,八成是边界条件里的kx范围设反了。用文献中的参考图对比时,注意频段缩放比例,特别是高频段容易出现模式交叉导致相位跳变。网格划分建议用极端细化,特别是介电突变处,别心疼算力,精度第一。Zak相位计算的核心是积分布洛赫波函数的导数,

移植带操作系统的资料(FreeRTOS、RT_Thread),源码都测试过可以使用,工程规范、逻辑清楚、可以快速移植的自己的板子,学习MODBUS通信协。移植带操作系统的资料(FreeRTOS、RT_Thread),源码都测试过可以使用,工程规范、逻辑清楚、可以快速移植的自己的板子,学习MODBUS通信协。RT-Thread用户更省事,用ENV工具直接装FreeModbus软件包,menuconf

C#联合Halcon视觉框架,可以根据项目配置工程,选择对应halcon脚本,可以编译修改脚本,调试相机,创建模板,可以查看检测信息,生产履历,保存历史图像,跟三菱FX5U以太网通讯,相机是海康网口sdk,halcon版本17.12,在工业视觉领域,将 C# 与 Halcon 框架相结合,能够释放出令人惊叹的能力。今天就来聊聊如何利用这两者,打造一个功能丰富的视觉项目。

用current measurement模块抓到的波形里,传统电源电流飙升到2000A的同时,光伏逆变器输出电流突然被拉低到近乎为零——这说明系统检测到电压跌落触发了低电压穿越保护。当把故障时间设置为0.5秒持续0.1秒时,抓到的电流突变波形里藏着个彩蛋:故障切除后的振荡衰减过程,持续时间长短直接反映了系统阻尼特性。最近在折腾一个带光伏的配电网仿真模型,刚好实现了几种短路故障情况下的波形捕捉。ma

道路病害检测数据集 包含rdd一共 5w3 张包含:横向裂缝 0、纵向裂缝 1、块状裂缝 2、龟裂 3 、坑槽 4、修补网状裂缝 5、修补裂缝 6、修补坑槽 7数据集已划分为训练集/验证集相关YOLOv5/YOLOv6/YOLOv7/YOLOv8模型可直接使用的Yolov8map值 0.751920*1080最近在研究道路病害检测相关项目,今天就来和大家分享一下用到的数据集以及适配的YOLO系列模

电容阵列用transition函数建模,把16位数字量转成模拟电压,1ns的上升时间避免仿真出现不连续点。芯片设计里的行为模型验证就像给电路做沙盘推演,最近在折腾16位SAR ADC的建模时发现,VerilogA真是个快速验证架构的神器。不过行为模型也不是万能的,像电荷注入效应这种与物理实现强相关的现象,还是得靠后仿验证。比如最初没加时钟分频模块,仿真发现比较器在采样阶段误触发,导致输出码跳变——








