
简介
该用户还未填写简介
擅长的技术栈
可提供的服务
暂无可提供的服务
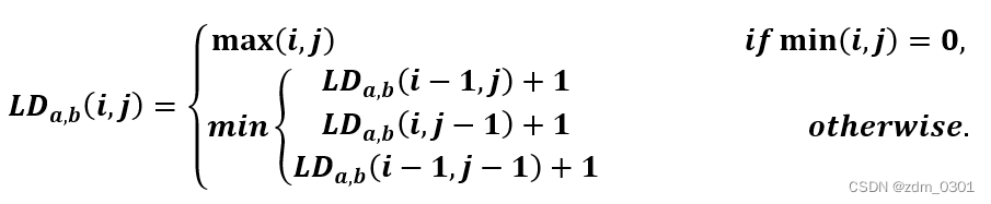
将两个字符串 a, b 的Levenshtein Distance表示为LDa,b(|a|, |b|),如下公式所示。其中,|a|和 |b|分别对应字符串 a, b 的长度。LDa,b(|a|, |b|)表示 a 的前 i 个字符与 b 的前 j 个字符之间的编辑距离。其中,i 和 j 都是从1开始的下标。编辑距离是NLP领域中一个基本的评估文本相似度的算法,可以作为文本相似任务的重要特征之一。该

大模型微调(Fine-tuning)是指在已经预训练好的大型语言模型基础上,使用特定的数据集进行进一步的训练,以使模型适应特定任务或领域。其根本原理在于,机器学习模型只能够代表它所接收到的数据集的逻辑和理解,而对于其没有获得的数据样本,其并不能很好地识别/理解,且对于大模型而言,也无法很好地回答特定场景下的问题。例如,一个通用大模型涵盖了许多语言信息,并能够进行流畅的对话。但是如果需要医药方面能够

本文首先将关注 RAG 的概念和理论。然后将展示可以如何使用用于编排(orchestration)的 LangChain、OpenAI 语言模型和 Weaviate 向量数据库来实现一个简单的 RAG。本文介绍了 RAG 的概念,其最早来自 2020 年的论文《Retrieval-Augmented Generation for Knowledge-Intensive NLP Tasks》。在介绍

sequential 模型是那种最简单的结构的模型。按顺序一层一层训练,一层一层往前的那种。没有什么环的结构。比如像前馈网络那样。就像下图这样的,一层层的那种。由于自己还是个新手小白,尚没有总结这个用法的能力,这里分享几个自己看了,启发很大的学习网址:1. https://keras-cn.readthedocs.io/en/latest/getting_started/sequential_mo
1.1 创建一个解析对象1.2 向该对象中添加所需得命令行参数和选项,每一个add_argument方法对应一个参数或选项;1.3 调用parse_args()方法进行解析使用。1.4 HfArgumentParser是Transformer框架中的命令行解析工,它是ArgumentParser的子类,用于从类对象中创建解析对象。这里利用HfArgumentParser加载用于构建模型、微调模型的

BGE M3-Embedding来自BAAI和中国科学技术大学,是BAAI开源的模型。相关论文在https://arxiv.org/abs/2402.03216,论文提出了一种新的embedding模型,称为M3-Embedding,它在多语言性(Multi-Linguality)、多功能性(Multi-Functionality)和多粒度性(Multi-Granularity)方面表现出色。

大模型微调(Fine-tuning)是指在已经预训练好的大型语言模型基础上,使用特定的数据集进行进一步的训练,以使模型适应特定任务或领域。其根本原理在于,机器学习模型只能够代表它所接收到的数据集的逻辑和理解,而对于其没有获得的数据样本,其并不能很好地识别/理解,且对于大模型而言,也无法很好地回答特定场景下的问题。例如,一个通用大模型涵盖了许多语言信息,并能够进行流畅的对话。但是如果需要医药方面能够

大模型微调(Fine-tuning)是指在已经预训练好的大型语言模型基础上,使用特定的数据集进行进一步的训练,以使模型适应特定任务或领域。其根本原理在于,机器学习模型只能够代表它所接收到的数据集的逻辑和理解,而对于其没有获得的数据样本,其并不能很好地识别/理解,且对于大模型而言,也无法很好地回答特定场景下的问题。例如,一个通用大模型涵盖了许多语言信息,并能够进行流畅的对话。但是如果需要医药方面能够

大模型微调(Fine-tuning)是指在已经预训练好的大型语言模型基础上,使用特定的数据集进行进一步的训练,以使模型适应特定任务或领域。其根本原理在于,机器学习模型只能够代表它所接收到的数据集的逻辑和理解,而对于其没有获得的数据样本,其并不能很好地识别/理解,且对于大模型而言,也无法很好地回答特定场景下的问题。例如,一个通用大模型涵盖了许多语言信息,并能够进行流畅的对话。但是如果需要医药方面能够

BGE M3-Embedding来自BAAI和中国科学技术大学,是BAAI开源的模型。相关论文在https://arxiv.org/abs/2402.03216,论文提出了一种新的embedding模型,称为M3-Embedding,它在多语言性(Multi-Linguality)、多功能性(Multi-Functionality)和多粒度性(Multi-Granularity)方面表现出色。









