
简介
该用户还未填写简介
擅长的技术栈
可提供的服务
暂无可提供的服务
在计算机视觉领域,医学图像分割是一个主要挑战,例如皮肤镜图像中的皮肤病变分割(Dai等,2022年)、结肠镜图像中的息肉分割(Fan等,2020年)、磁共振图像中的脑肿瘤分割(Wang等,2021年)以及腹部CT图像中的多器官分割(Cao等,2021年)。这些分割结果提供了关于解剖区域的宝贵信息,有助于详细分析和帮助医生准确描绘损伤、监测疾病进展,并评估适当治疗的需求。随着对智能医学图像分析需求的

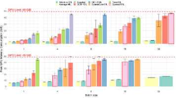
2026.4.15本研究提出SparseXceptionMIL (SparseXMIL),一种结合稀疏卷积与Xception架构的新型多实例学习模型,通过高效利用稀疏图像表示和多尺度空间交互,显著提升了全玻片图像(WSI)分类的GPU内存效率和预测性能,尤其在需要空间上下文的任务中表现优异,并具有良好的可解释性。Title题目01SparseXMIL: Leveraging sparse conv

训练数据通过对真实患者图像进行高逼真度的CT模拟生成,这些图像包括有金属物体和没有金属物体的情况,以及仅有金属物体的模拟。金属物体的正弦图用于在金属物体的阴影中遮蔽数据(即金属痕迹),作为MAR方法的理想输入,如图1所示。在此,我们使用了名义上的CT几何参数,源到等距距离为540毫米,源到探测器距离为950毫米,探测器单元为1.0毫米x 1.1毫米,探测器四分之一偏移,管电压为120 kVp,管电

这一转变还伴随着数字病理学(Niazi等人,2019)、生物传感器(Sempionatto等人,2022)和下一代测序(Steyaert等人,2023)等技术的出现,这些技术为临床医生在多个领域提供了新的见解。在医疗应用的多模态人工智能研究中,公开共享数据集的使用十分普遍——模型开发中使用的数据源有61%来自公共数据平台,例如癌症基因组图谱(TCGA,占14%)、阿尔茨海默病神经影像倡议(ADNI

Title题目Learning multi-modal representations by watching hundreds of surgical video lectures通过观看数百个外科手术视频课程来学习多模态表征01文献速递介绍近年来,外科计算机视觉领域的进展已开始为手术室(OR)的新一代人工智能辅助支持系统铺平道路(Maier-Hein 等,2017,2022;Ward 等,20

Title题目Contrastive learning and prior knowledge-induced feature extractionnetwork for prediction of high-risk recurrence areas in Gliomas对比学习与先验知识引导的特征提取网络在胶质瘤高风险复发区域预测中的应用01文献速递介绍胶质瘤起源于神经胶质细胞,沿白质呈浸润性

最后,采用2.5D体素生成策略,通过输入N个连续邻近切片,并在训练后对重叠切片进行加权平均,有效平衡训练效率和3D PET生成的一致性,缓解2D网络可能导致的切片不一致问题。本文提出PASTA框架,利用条件扩散模型和增强的病理意识实现MRI到PET的跨模态图像转换,有效保留结构和病理细节,并通过循环交换一致性及2.5D体素生成策略,显著提升阿尔茨海默病诊断精度,其合成PET图像性能接近真实PET。

2026.1.7本文提出一种基于高斯伪标签的弱监督学习框架,用于非造影CT中椭圆形血管结构(如腹主动脉)的分割,通过高效标注标准和新的损失函数组合显著减少了标注时间并提升了模型性能,使其在不同数据集和模型中均表现优越,并支持外部数据整合,具有广泛应用潜力。Title题目01Beyond strong labels: Weakly-supervised learning based on Gauss

Title题目Non-iterative and uncertainty-aware MRI-based liver fat estimation using anunsupervised deep learning method基于无监督深度学习方法的非迭代式、不确定性感知的磁共振成像肝脏脂肪定量评估01文献速递介绍代谢相关性脂肪性肝病(MASLD)与肝脏脂肪定量评估研究背景及AI-DEAL方法

Title题目Similarity-guided multi-view functional brain network fusion基于相似性引导的多视角功能性脑网络融合01文献速递介绍大脑是一个具有层级结构的复杂系统,其活动通过多个功能区域的相互作用与协同来实现(Belliveau 等,1991;Cao 等,2014;Boccaletti 等,2006;Bullmore 和 Sporns,20








