
简介
该用户还未填写简介
擅长的技术栈
未填写擅长的技术栈
可提供的服务
暂无可提供的服务
随机森林回归算法的Python实现与应用
本文对随机森林回归算法对原理说明、算法的Python实现及算法应用进行了简要的说明,文中给出了一个拟合效果不佳的模型进行示例。

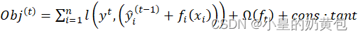
XGBOOST算法Python实现(保姆级)
本文基于XGBOOST算法,从数据预处理、算法原理、算法实现、敏感性分析和算法应用都做了具体的分析,可适用于大部分机器学习算法初学者。

随机森林回归算法的Python实现与应用
本文对随机森林回归算法对原理说明、算法的Python实现及算法应用进行了简要的说明,文中给出了一个拟合效果不佳的模型进行示例。

XGBOOST算法Python实现(保姆级)
本文基于XGBOOST算法,从数据预处理、算法原理、算法实现、敏感性分析和算法应用都做了具体的分析,可适用于大部分机器学习算法初学者。

XGBOOST算法Python实现(保姆级)
本文基于XGBOOST算法,从数据预处理、算法原理、算法实现、敏感性分析和算法应用都做了具体的分析,可适用于大部分机器学习算法初学者。

到底了







