
简介
该用户还未填写简介
擅长的技术栈
可提供的服务
暂无可提供的服务
其实方法很简单的,比直接放到tomacat时需要改动assetsPublicPath还简单。。。直接打包,把dist目录下内容全部拷贝到springboot工程目录下的main\resources\static目录下我这里是thymeleaf,使用的是templates下的模板@Controllerpublic class pageController {...
先装两个插件1.Java Extension Pack2.Maven for Java装完这两玩意之后插件列表是这样的配置JAVA环境记得配置下JAVA_HOME以及path。还有就是我用java11时,vscode运行项目报错了。所以用的java8。配置maven环境插件列表中maven for java点那个齿轮图标进入配置在配置里面选择进入j...
鸿蒙的开发SDK有2.x和3.x两个大版本。从2.x到3.x是一个巨大的过渡,因为出来了ArkTs,前面的都扔了。如果是之前开发的大项目,那就真巨坑了。

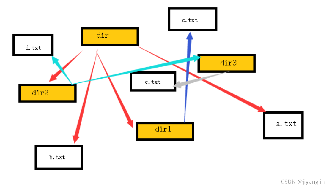
在linux系统,我们经常会见到.tar.gz格式的压缩文件,这是一种经过tar协议归档,再进行gz压缩得到的文件。比如我们有一个文件夹dir,里面包含两个文件a.txt、b.txt,两个文件夹dir1、dir2,dir1文件夹内包含c.txt,dir2内包含d.txt和dir3,dir3内包含e.txt。Tar打包在内存中,文件的位置其实是散乱的排列。通过tar协议,我们可以将数据在内存中进行连

vue cli时候,这个问题报的莫名其妙。出现这种情况,我这里遇到了,大概就下面这几种情况:1. import组件或者js重复时候报错2. 函数重名3. async没写function initfun(){await fun();}应该写成:async function initfun(){await fun();}...
其实方法很简单的,比直接放到tomacat时需要改动assetsPublicPath还简单。。。直接打包,把dist目录下内容全部拷贝到springboot工程目录下的main\resources\static目录下我这里是thymeleaf,使用的是templates下的模板@Controllerpublic class pageController {...







