My task is to find coordinates of lines (startX, startY, endX, endY) and rectangles (4 lines). Here is input file:
I use the next code:
img = cv.imread(image_src)
gray = cv.cvtColor(img,cv.COLOR_BGR2GRAY)
ret, thresh1 = cv.threshold(gray,127,255,cv.THRESH_BINARY)
edges = cv.Canny(thresh1,50,150,apertureSize = 3)
minLineLength = 100
maxLineGap = 10
lines = cv.HoughLinesP(edges,1,np.pi/180,10,minLineLength,maxLineGap)
print(len(lines))
for line in lines:
cv.line(img,(line[0][0],line[0][1]),(line[0][2],line[0][3]),(0,0,255),6)
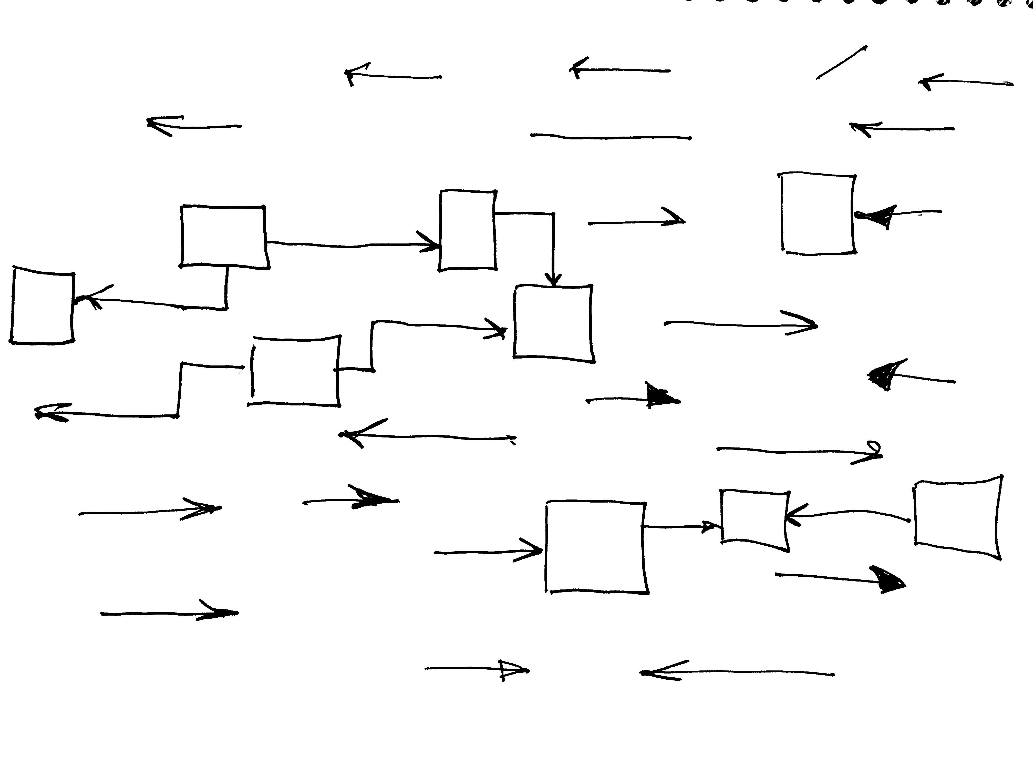
I get the next results:

From the last image you can see big amount of small red lines.
Questions:
- What is the best way to merge small lines?
- Why there are a lot of small portions that are not detected by HoughLinesP?
I have finally completed the pipeline:
- fixed incorrect parameters (as were suggested by Dan)
- developed my own 'merging line segments' algorithm. I had bad results when I implemented TAVARES and PADILHA algorithm (as were suggested by Andrew).
- I have skipped Canny and got better results (as were suggested by Alexander)
Please find the code and results:
def get_lines(lines_in):
if cv.__version__ < '3.0':
return lines_in[0]
return [l[0] for l in lines_in]
def process_lines(image_src):
img = mpimg.imread(image_src)
gray = cv.cvtColor(img,cv.COLOR_BGR2GRAY)
ret, thresh1 = cv.threshold(gray,127,255,cv.THRESH_BINARY)
thresh1 = cv.bitwise_not(thresh1)
edges = cv.Canny(thresh1, threshold1=50, threshold2=200, apertureSize = 3)
lines = cv.HoughLinesP(thresh1, rho=1, theta=np.pi/180, threshold=50,
minLineLength=50, maxLineGap=30)
# l[0] - line; l[1] - angle
for line in get_lines(lines):
leftx, boty, rightx, topy = line
cv.line(img, (leftx, boty), (rightx,topy), (0,0,255), 6)
# merge lines
#------------------
# prepare
_lines = []
for _line in get_lines(lines):
_lines.append([(_line[0], _line[1]),(_line[2], _line[3])])
# sort
_lines_x = []
_lines_y = []
for line_i in _lines:
orientation_i = math.atan2((line_i[0][1]-line_i[1][1]),(line_i[0][0]-line_i[1][0]))
if (abs(math.degrees(orientation_i)) > 45) and abs(math.degrees(orientation_i)) < (90+45):
_lines_y.append(line_i)
else:
_lines_x.append(line_i)
_lines_x = sorted(_lines_x, key=lambda _line: _line[0][0])
_lines_y = sorted(_lines_y, key=lambda _line: _line[0][1])
merged_lines_x = merge_lines_pipeline_2(_lines_x)
merged_lines_y = merge_lines_pipeline_2(_lines_y)
merged_lines_all = []
merged_lines_all.extend(merged_lines_x)
merged_lines_all.extend(merged_lines_y)
print("process groups lines", len(_lines), len(merged_lines_all))
img_merged_lines = mpimg.imread(image_src)
for line in merged_lines_all:
cv.line(img_merged_lines, (line[0][0], line[0][1]), (line[1][0],line[1][1]), (0,0,255), 6)
cv.imwrite('prediction/lines_gray.jpg',gray)
cv.imwrite('prediction/lines_thresh.jpg',thresh1)
cv.imwrite('prediction/lines_edges.jpg',edges)
cv.imwrite('prediction/lines_lines.jpg',img)
cv.imwrite('prediction/merged_lines.jpg',img_merged_lines)
return merged_lines_all
def merge_lines_pipeline_2(lines):
super_lines_final = []
super_lines = []
min_distance_to_merge = 30
min_angle_to_merge = 30
for line in lines:
create_new_group = True
group_updated = False
for group in super_lines:
for line2 in group:
if get_distance(line2, line) < min_distance_to_merge:
# check the angle between lines
orientation_i = math.atan2((line[0][1]-line[1][1]),(line[0][0]-line[1][0]))
orientation_j = math.atan2((line2[0][1]-line2[1][1]),(line2[0][0]-line2[1][0]))
if int(abs(abs(math.degrees(orientation_i)) - abs(math.degrees(orientation_j)))) < min_angle_to_merge:
#print("angles", orientation_i, orientation_j)
#print(int(abs(orientation_i - orientation_j)))
group.append(line)
create_new_group = False
group_updated = True
break
if group_updated:
break
if (create_new_group):
new_group = []
new_group.append(line)
for idx, line2 in enumerate(lines):
# check the distance between lines
if get_distance(line2, line) < min_distance_to_merge:
# check the angle between lines
orientation_i = math.atan2((line[0][1]-line[1][1]),(line[0][0]-line[1][0]))
orientation_j = math.atan2((line2[0][1]-line2[1][1]),(line2[0][0]-line2[1][0]))
if int(abs(abs(math.degrees(orientation_i)) - abs(math.degrees(orientation_j)))) < min_angle_to_merge:
#print("angles", orientation_i, orientation_j)
#print(int(abs(orientation_i - orientation_j)))
new_group.append(line2)
# remove line from lines list
#lines[idx] = False
# append new group
super_lines.append(new_group)
for group in super_lines:
super_lines_final.append(merge_lines_segments1(group))
return super_lines_final
def merge_lines_segments1(lines, use_log=False):
if(len(lines) == 1):
return lines[0]
line_i = lines[0]
# orientation
orientation_i = math.atan2((line_i[0][1]-line_i[1][1]),(line_i[0][0]-line_i[1][0]))
points = []
for line in lines:
points.append(line[0])
points.append(line[1])
if (abs(math.degrees(orientation_i)) > 45) and abs(math.degrees(orientation_i)) < (90+45):
#sort by y
points = sorted(points, key=lambda point: point[1])
if use_log:
print("use y")
else:
#sort by x
points = sorted(points, key=lambda point: point[0])
if use_log:
print("use x")
return [points[0], points[len(points)-1]]
# https://docs.scipy.org/doc/scipy/reference/generated/scipy.spatial.distance.cdist.html
# https://stackoverflow.com/questions/32702075/what-would-be-the-fastest-way-to-find-the-maximum-of-all-possible-distances-betw
def lines_close(line1, line2):
dist1 = math.hypot(line1[0][0] - line2[0][0], line1[0][0] - line2[0][1])
dist2 = math.hypot(line1[0][2] - line2[0][0], line1[0][3] - line2[0][1])
dist3 = math.hypot(line1[0][0] - line2[0][2], line1[0][0] - line2[0][3])
dist4 = math.hypot(line1[0][2] - line2[0][2], line1[0][3] - line2[0][3])
if (min(dist1,dist2,dist3,dist4) < 100):
return True
else:
return False
def lineMagnitude (x1, y1, x2, y2):
lineMagnitude = math.sqrt(math.pow((x2 - x1), 2)+ math.pow((y2 - y1), 2))
return lineMagnitude
#Calc minimum distance from a point and a line segment (i.e. consecutive vertices in a polyline).
# https://nodedangles.wordpress.com/2010/05/16/measuring-distance-from-a-point-to-a-line-segment/
# http://paulbourke.net/geometry/pointlineplane/
def DistancePointLine(px, py, x1, y1, x2, y2):
#http://local.wasp.uwa.edu.au/~pbourke/geometry/pointline/source.vba
LineMag = lineMagnitude(x1, y1, x2, y2)
if LineMag < 0.00000001:
DistancePointLine = 9999
return DistancePointLine
u1 = (((px - x1) * (x2 - x1)) + ((py - y1) * (y2 - y1)))
u = u1 / (LineMag * LineMag)
if (u < 0.00001) or (u > 1):
#// closest point does not fall within the line segment, take the shorter distance
#// to an endpoint
ix = lineMagnitude(px, py, x1, y1)
iy = lineMagnitude(px, py, x2, y2)
if ix > iy:
DistancePointLine = iy
else:
DistancePointLine = ix
else:
# Intersecting point is on the line, use the formula
ix = x1 + u * (x2 - x1)
iy = y1 + u * (y2 - y1)
DistancePointLine = lineMagnitude(px, py, ix, iy)
return DistancePointLine
def get_distance(line1, line2):
dist1 = DistancePointLine(line1[0][0], line1[0][1],
line2[0][0], line2[0][1], line2[1][0], line2[1][1])
dist2 = DistancePointLine(line1[1][0], line1[1][1],
line2[0][0], line2[0][1], line2[1][0], line2[1][1])
dist3 = DistancePointLine(line2[0][0], line2[0][1],
line1[0][0], line1[0][1], line1[1][0], line1[1][1])
dist4 = DistancePointLine(line2[1][0], line2[1][1],
line1[0][0], line1[0][1], line1[1][0], line1[1][1])
return min(dist1,dist2,dist3,dist4)

There are still 572 lines. After my "merging line segments" we have only 89 lines 
所有评论(0)