In a multilabel classification setting, sklearn.metrics.accuracy_score only computes the subset accuracy (3): i.e. the set of labels predicted for a sample must exactly match the corresponding set of labels in y_true.
This way of computing the accuracy is sometime named, perhaps less ambiguously, exact match ratio (1):

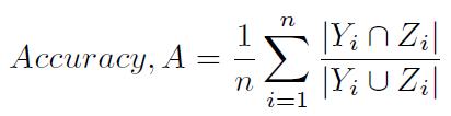
Is there any way to get the other typical way to compute the accuracy in scikit-learn, namely

(as defined in (1) and (2), and less ambiguously referred to as the Hamming score (4) (since it is closely related to the Hamming loss), or label-based accuracy) ?
(1) Sorower, Mohammad S. "A literature survey on algorithms for multi-label learning." Oregon State University, Corvallis (2010).
(2) Tsoumakas, Grigorios, and Ioannis Katakis. "Multi-label classification: An overview." Dept. of Informatics, Aristotle University of Thessaloniki, Greece (2006).
(3) Ghamrawi, Nadia, and Andrew McCallum. "Collective multi-label classification." Proceedings of the 14th ACM international conference on Information and knowledge management. ACM, 2005.
(4) Godbole, Shantanu, and Sunita Sarawagi. "Discriminative methods for multi-labeled classification." Advances in Knowledge Discovery and Data Mining. Springer Berlin Heidelberg, 2004. 22-30.
You can write one version yourself, here is a example without considering the weight and normalize.
import numpy as np
y_true = np.array([[0,1,0],
[0,1,1],
[1,0,1],
[0,0,1]])
y_pred = np.array([[0,1,1],
[0,1,1],
[0,1,0],
[0,0,0]])
def hamming_score(y_true, y_pred, normalize=True, sample_weight=None):
'''
Compute the Hamming score (a.k.a. label-based accuracy) for the multi-label case
http://stackoverflow.com/q/32239577/395857
'''
acc_list = []
for i in range(y_true.shape[0]):
set_true = set( np.where(y_true[i])[0] )
set_pred = set( np.where(y_pred[i])[0] )
#print('\nset_true: {0}'.format(set_true))
#print('set_pred: {0}'.format(set_pred))
tmp_a = None
if len(set_true) == 0 and len(set_pred) == 0:
tmp_a = 1
else:
tmp_a = len(set_true.intersection(set_pred))/\
float( len(set_true.union(set_pred)) )
#print('tmp_a: {0}'.format(tmp_a))
acc_list.append(tmp_a)
return np.mean(acc_list)
if __name__ == "__main__":
print('Hamming score: {0}'.format(hamming_score(y_true, y_pred))) # 0.375 (= (0.5+1+0+0)/4)
# For comparison sake:
import sklearn.metrics
# Subset accuracy
# 0.25 (= 0+1+0+0 / 4) --> 1 if the prediction for one sample fully matches the gold. 0 otherwise.
print('Subset accuracy: {0}'.format(sklearn.metrics.accuracy_score(y_true, y_pred, normalize=True, sample_weight=None)))
# Hamming loss (smaller is better)
# $$ \text{HammingLoss}(x_i, y_i) = \frac{1}{|D|} \sum_{i=1}^{|D|} \frac{xor(x_i, y_i)}{|L|}, $$
# where
# - \\(|D|\\) is the number of samples
# - \\(|L|\\) is the number of labels
# - \\(y_i\\) is the ground truth
# - \\(x_i\\) is the prediction.
# 0.416666666667 (= (1+0+3+1) / (3*4) )
print('Hamming loss: {0}'.format(sklearn.metrics.hamming_loss(y_true, y_pred)))
Outputs:
Hamming score: 0.375
Subset accuracy: 0.25
Hamming loss: 0.416666666667
所有评论(0)