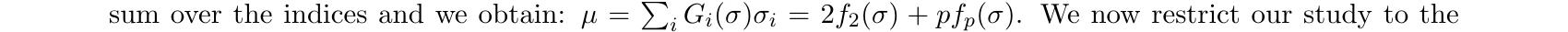
I am doing a college class project on image processing. This is my original image: 
I want to join nearby/overlapping bounding boxes on individual text line images, but I don't know how. My code looks like this so far (thanks to @HansHirse for the help):
import os
import cv2
import numpy as np
from scipy import stats
image = cv2.imread('example.png')
gray = cv2.cvtColor(image,cv2.COLOR_BGR2GRAY)
ret,thresh = cv2.threshold(gray,127,255,cv2.THRESH_BINARY_INV+cv2.THRESH_OTSU)
#dilation
kernel = np.ones((5,5), np.uint8)
img_dilation = cv2.dilate(thresh, kernel, iterations=1)
#find contours
ctrs, hier = cv2.findContours(img_dilation.copy(), cv2.RETR_EXTERNAL, cv2.CHAIN_APPROX_SIMPLE)
# https://www.pyimagesearch.com/2015/04/20/sorting-contours-using-python-and-opencv/
def sort_contours(cnts, method="left-to-right"):
# initialize the reverse flag and sort index
reverse = False
i = 0
# handle if we need to sort in reverse
if method == "right-to-left" or method == "bottom-to-top":
reverse = True
# handle if we are sorting against the y-coordinate rather than
# the x-coordinate of the bounding box
if method == "top-to-bottom" or method == "bottom-to-top":
i = 1
# construct the list of bounding boxes and sort them from top to
# bottom
boundingBoxes = [cv2.boundingRect(c) for c in cnts]
(cnts, boundingBoxes) = zip(*sorted(zip(cnts, boundingBoxes),
key=lambda b: b[1][i], reverse=reverse))
# return the list of sorted contours and bounding boxes
return (cnts, boundingBoxes)
sortedctrs,sortedbbs=sort_contours(ctrs)
xyminmax=[]
for cnt in sortedctrs:
x, y, w, h = cv2.boundingRect(cnt)
xyminmax.append([x,y,x+w,y+h])
distances=[]
for i in range(len(xyminmax)):
try:
first_xmax = xyminmax[i][2]
second_xmin = xyminmax[i + 1][0]
distance=abs(second_xmin-first_xmax)
distances.append(distance)
except IndexError:
pass
THRESHOLD=stats.mode(distances, axis=None)[0][0]
new_rects=[]
for i in range(len(xyminmax)):
try:
# [xmin,ymin,xmax,ymax]
first_ymin=xyminmax[i][1]
first_ymax=xyminmax[i][3]
second_ymin=xyminmax[i+1][1]
second_ymax=xyminmax[i+1][3]
first_xmax = xyminmax[i][2]
second_xmin = xyminmax[i+1][0]
firstheight=abs(first_ymax-first_ymin)
secondheight=abs(second_ymax-second_ymin)
distance=abs(second_xmin-first_xmax)
if distance<THRESHOLD:
new_xmin=xyminmax[i][0]
new_xmax=xyminmax[i+1][2]
if first_ymin>second_ymin:
new_ymin=second_ymin
else:
new_ymin = first_ymin
if firstheight>secondheight:
new_ymax = first_ymax
else:
new_ymax = second_ymax
new_rects.append([new_xmin,new_ymin,new_xmax,new_ymax])
else:
new_rects.append(xyminmax[i])
except IndexError:
pass
for rect in new_rects:
cv2.rectangle(image, (rect[0], rect[1]), (rect[2], rect[3]), (121, 11, 189), 2)
cv2.imwrite("result.png",image)
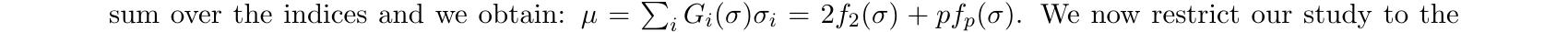
which produces this image as a result: 
I want to join very close or overlapping bounding boxes such as these


into a single bounding box so the formula doesn't get separated into single characters. I have tried using cv2.groupRectangles but the print results were just NULL.



所有评论(0)