
简介
该用户还未填写简介
擅长的技术栈
未填写擅长的技术栈
可提供的服务
暂无可提供的服务
超详细机器学习(LASSO)教程,此时不学何时学?
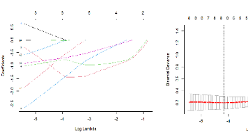
在AI高速发展的时代,作为人工智能的一个重要分支,机器学习的热度大家有目共睹。要是能够在文献里用上一二,对论文质量提升较大。我们将介绍使用LASSO和随机森林(RandomForest)筛选特征基因。本期介绍LASSO。

超详细机器学习(LASSO)教程,此时不学何时学?
在AI高速发展的时代,作为人工智能的一个重要分支,机器学习的热度大家有目共睹。要是能够在文献里用上一二,对论文质量提升较大。我们将介绍使用LASSO和随机森林(RandomForest)筛选特征基因。本期介绍LASSO。

到底了







