I am trying to draw multiple black-and-white boxplots using Python's Seaborn package. By default the plots are using a color palette. I would like to draw them in solid black outline. The best I can come up with is:
# figure styles
sns.set_style('white')
sns.set_context('paper', font_scale=2)
plt.figure(figsize=(3, 5))
sns.set_style('ticks', {'axes.edgecolor': '0',
'xtick.color': '0',
'ytick.color': '0'})
ax = sns.boxplot(x="test1", y="test2", data=dataset, color='white', width=.5)
sns.despine(offset=5, trim=True)
sns.plt.show()
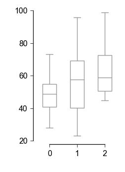
Which produces something like:

I would like the box outlines to be black without any fill or changes in the color palette.


所有评论(0)