I am watching some videos for Stanford CS231: Convolutional Neural Networks for Visual Recognition but do not quite understand how to calculate analytical gradient for softmax loss function using numpy.
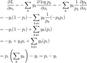
From this stackexchange answer, softmax gradient is calculated as:

Python implementation for above is:
num_classes = W.shape[0]
num_train = X.shape[1]
for i in range(num_train):
for j in range(num_classes):
p = np.exp(f_i[j])/sum_i
dW[j, :] += (p-(j == y[i])) * X[:, i]
Could anyone explain how the above snippet work? Detailed implementation for softmax is also included below.
def softmax_loss_naive(W, X, y, reg):
"""
Softmax loss function, naive implementation (with loops)
Inputs:
- W: C x D array of weights
- X: D x N array of data. Data are D-dimensional columns
- y: 1-dimensional array of length N with labels 0...K-1, for K classes
- reg: (float) regularization strength
Returns:
a tuple of:
- loss as single float
- gradient with respect to weights W, an array of same size as W
"""
# Initialize the loss and gradient to zero.
loss = 0.0
dW = np.zeros_like(W)
#############################################################################
# Compute the softmax loss and its gradient using explicit loops. #
# Store the loss in loss and the gradient in dW. If you are not careful #
# here, it is easy to run into numeric instability. Don't forget the #
# regularization! #
#############################################################################
# Get shapes
num_classes = W.shape[0]
num_train = X.shape[1]
for i in range(num_train):
# Compute vector of scores
f_i = W.dot(X[:, i]) # in R^{num_classes}
# Normalization trick to avoid numerical instability, per http://cs231n.github.io/linear-classify/#softmax
log_c = np.max(f_i)
f_i -= log_c
# Compute loss (and add to it, divided later)
# L_i = - f(x_i)_{y_i} + log \sum_j e^{f(x_i)_j}
sum_i = 0.0
for f_i_j in f_i:
sum_i += np.exp(f_i_j)
loss += -f_i[y[i]] + np.log(sum_i)
# Compute gradient
# dw_j = 1/num_train * \sum_i[x_i * (p(y_i = j)-Ind{y_i = j} )]
# Here we are computing the contribution to the inner sum for a given i.
for j in range(num_classes):
p = np.exp(f_i[j])/sum_i
dW[j, :] += (p-(j == y[i])) * X[:, i]
# Compute average
loss /= num_train
dW /= num_train
# Regularization
loss += 0.5 * reg * np.sum(W * W)
dW += reg*W
return loss, dW
is really the indicator function
, as described here. This forms the expression 


所有评论(0)