How do I make a flowchart using markdown on my github blog
·
Answer a question
I recently put some posts on my github jekyll blog.Everything is fine,except my flowchart.I used to make flowchart like this:
```flow
my content
but when I preview the post,It can't display as a flowchart. This is Ok in some other markdown editor.If I want to make flowchart on my github blog,what can I do?Thanks.
## Answers
Update Feb. 2022: the Mermaid support is official (for [Gist too](https://github.blog/changelog/2022-02-28-gists-now-support-mermaid-diagrams/)):

_Alternative Links 17/02/2020:_
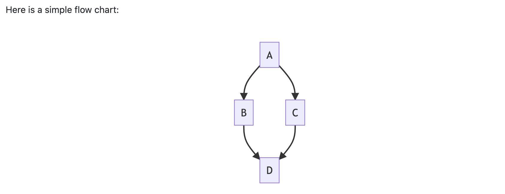
graph TD; A-->B; A-->C; B-->D; C-->D;

_There is also an entry in the [GitHub Docs](https://docs.github.com/en/get-started/writing-on-github/working-with-advanced-formatting/creating-diagrams)_
Working with [**Knut Sveidqvist**](https://github.com/knsv) and also the wider community at **[CommonMark](https://commonmark.org/)**, we’ve rolled out a change that will allow you to create graphs inline using [Mermaid syntax](https://mermaid-js.github.io/mermaid/#/n00b-syntaxReference?id=syntax-structure), for example:
* * *
Update Sept. 2021: from [GitHub tweet](https://twitter.com/github/status/1441378096096051200):
> Need to add some ASCII art flow diagrams to your README or code comments?
>
> YES → [https://asciiflow.com](https://asciiflow.com) (งツ)ว

This is not "markdown" per se, using "extended ASCII", but it can do the job.
* * *
Original answer 2016: The [GitHub Flavored Markdown (GFM)](https://help.github.com/articles/github-flavored-markdown/) alone does not support flowcharts (as opposed of other markdown like [mermaid](https://github.com/mermaid-js/mermaid)). You can confirm it in this [GFM editor](https://jbt.github.io/markdown-editor).
You would be better served by using some JavaScript library to display flowcharts.
As [commented below](https://stackoverflow.com/questions/34836305/how-do-i-make-a-flowchart-using-markdown-on-my-github-blog/34836640#comment106440601_34836640) by [Jeremiah England](https://stackoverflow.com/users/9849440/jeremiah-england), there is:
* a [`github/markup` issue 533](https://github.com/github/markup/issues/533), with a [possible workaround](https://github.com/github/markup/issues/533#issuecomment-372833846)
* a [feature request](https://github.community/t5/How-to-use-Git-and-GitHub/Feature-Request-Support-Mermaid-markdown-graph-diagrams-in-md/td-p/21967), which also includes workarounds:
* a [Chrome extension](https://github.com/BackMarket/github-mermaid-extension)
* a [GitHub Action](https://github.com/neenjaw/mermaid-markdown-test)
更多推荐


所有评论(0)