【考研数学】常用数学公式大全
常用数学公式大全
半角公式
sin α 2 = ± 1 − cos α 2 \sin \frac{\alpha}{2}=\pm \sqrt{\frac{1-\cos \alpha}{2}} sin2α=±21−cosα
cos α 2 = ± 1 + cos α 2 \cos \frac{\alpha}{2}=\pm \sqrt{\frac{1+\cos \alpha}{2}} cos2α=±21+cosα
cos α = 2 cos 2 α 2 − 1 = 1 − 2 sin 2 α 2 \cos \alpha=2 \cos ^{2} \frac{\alpha}{2}-1=1-2 \sin ^{2} \frac{\alpha}{2} cosα=2cos22α−1=1−2sin22α
tan α 2 = ± 1 − cos α 1 + cos α = sin α 1 + cos α = 1 − cos α sin α \tan \frac{\alpha}{2}=\pm \sqrt{\frac{1-\cos \alpha}{1+\cos \alpha}}=\frac{\sin \alpha}{1+\cos \alpha}=\frac{1-\cos \alpha}{\sin \alpha} tan2α=±1+cosα1−cosα=1+cosαsinα=sinα1−cosα
cot α 2 = 1 + cos α sin α = sin α 1 − cos α \cot \frac{\alpha}{2}=\frac{1+\cos \alpha}{\sin \alpha}=\frac{\sin \alpha}{1-\cos \alpha} cot2α=sinα1+cosα=1−cosαsinα
sec α 2 = ± sec α + 1 2 sec α 2 sec α sec α + 1 = ± 4 sec 3 α + sec 2 α 2 sec α sec α + 1 \sec \frac{\alpha}{2}=\frac{\pm \sqrt{\frac{\sec \alpha+1}{2 \sec \alpha}} 2 \sec \alpha}{\sec \alpha+1}=\frac{\pm \sqrt{\frac{4 \sec ^{3} \alpha+\sec ^{2} \alpha}{2 \sec \alpha}}}{\sec \alpha+1} sec2α=secα+1±2secαsecα+12secα=secα+1±2secα4sec3α+sec2α
csc α 2 = ± sec α − 1 2 sec α 2 sec α sec α − 1 = ± 4 sec 3 α − sec 2 α 2 sec α sec α − 1 \csc \frac{\alpha}{2}=\frac{\pm \sqrt{\frac{\sec \alpha-1}{2 \sec \alpha}} 2 \sec \alpha}{\sec \alpha-1}=\frac{\pm \sqrt{\frac{4 \sec ^{3} \alpha-\sec ^{2} \alpha}{2 \sec \alpha}}}{\sec \alpha-1} csc2α=secα−1±2secαsecα−12secα=secα−1±2secα4sec3α−sec2α
倍角公式
sin 2 α = 2 sin α cos α \sin 2 \alpha=2 \sin \alpha \cos \alpha sin2α=2sinαcosα
cos 2 α = cos 2 α − sin 2 α = 2 cos 2 α − 1 = 1 − 2 sin 2 α \cos 2 \alpha=\cos ^{2} \alpha-\sin ^{2} \alpha=2 \cos ^{2} \alpha-1=1-2 \sin ^{2} \alpha cos2α=cos2α−sin2α=2cos2α−1=1−2sin2α
tan 2 α = 2 tan α 1 − tan 2 α \tan 2 \alpha=\frac{2 \tan \alpha}{1-\tan ^{2} \alpha} tan2α=1−tan2α2tanα
cot 2 α = cot 2 α − 1 2 cot α \cot 2 \alpha=\frac{\cot ^{2} \alpha-1}{2 \cot \alpha} cot2α=2cotαcot2α−1
sec 2 α = sec 2 α + csc 2 α csc 2 α − sec 2 α = sec 2 α csc 2 α csc 2 α − sec 2 α \sec 2 \alpha=\frac{\sec ^{2} \alpha+\csc ^{2} \alpha}{\csc ^{2} \alpha-\sec ^{2} \alpha}=\frac{\sec ^{2} \alpha \csc ^{2} \alpha}{\csc ^{2} \alpha-\sec ^{2} \alpha} sec2α=csc2α−sec2αsec2α+csc2α=csc2α−sec2αsec2αcsc2α
csc 2 α = sec 2 α + csc 2 α 2 sec α csc α = sec 2 α csc α 2 \csc 2 \alpha=\frac{\sec ^{2} \alpha+\csc ^{2} \alpha}{2 \sec \alpha \csc \alpha}=\frac{\sec ^{2} \alpha \csc \alpha}{2} csc2α=2secαcscαsec2α+csc2α=2sec2αcscα
曲率公式
曲率 K = ∣ y ′ ′ ∣ ( 1 + y ′ 2 ) 3 2 曲率 K=\frac{\left|y^{\prime \prime}\right|}{\left(1+y^{\prime 2}\right)^{\frac{3}{2}}} 曲率K=(1+y′2)23∣y′′∣
曲率半径 ρ = 1 K = ( 1 + y ′ 2 ) 3 2 ∣ y ′ ′ ∣ 曲率半径 \rho=\frac{1}{K}=\frac{\left(1+y^{\prime 2}\right)^{\frac{3}{2}}}{\left|y^{\prime \prime}\right|} 曲率半径ρ=K1=∣y′′∣(1+y′2)23
点到直线距离公式
设直线 L \mathrm{L} L 的方程为 A x + B y + C = 0 \mathrm{Ax}+\mathrm{By}+\mathrm{C}=0 Ax+By+C=0 ,点 P \mathrm{P} P 的坐标为 ( x 0 , y 0 ) (x 0, y 0) (x0,y0) ,则点 P \mathrm{P} P 到直线 L \mathrm{L} L 的距离为: ∣ A x 0 + B y 0 + C ∣ A 2 + B 2 \frac{\left|A x_{0}+B y_{0}+C\right|}{\sqrt{A^{2}+B^{2}}} A2+B2∣Ax0+By0+C∣
常用求导公式
( x α ) ′ = α x α − 1 , ( a x ) ′ = a x ln a , ( e x ) ′ = e x , ( log a x ) ′ = 1 x ln a , ( ln x ) ′ = 1 x \left(x^{\alpha}\right)^{\prime}=\alpha x^{\alpha-1}, \quad\left(a^{x}\right)^{\prime}=a^{x} \ln a, \quad\left(e^{x}\right)^{\prime}=e^{x}, \quad\left(\log _{a} x\right)^{\prime}=\frac{1}{x \ln a}, \quad(\ln x)^{\prime}=\frac{1}{x} (xα)′=αxα−1,(ax)′=axlna,(ex)′=ex,(logax)′=xlna1,(lnx)′=x1
( sin x ) ′ = cos x , ( cos x ) ′ = − sin x , ( arcsin x ) ′ = 1 1 − x 2 , ( arccos x ) ′ = − 1 1 − x 2 (\sin x)^{\prime}=\cos x, \quad(\cos x)^{\prime}=-\sin x, \quad(\arcsin x)^{\prime}=\frac{1}{\sqrt{1-x^{2}}}, \quad(\arccos x)^{\prime}=-\frac{1}{\sqrt{1-x^{2}}} (sinx)′=cosx,(cosx)′=−sinx,(arcsinx)′=1−x21,(arccosx)′=−1−x21
( tan x ) ′ = sec 2 x , ( cot x ) ′ = − csc 2 x , ( arctan x ) ′ = 1 1 + x 2 , ( arccot x ) ′ = − 1 1 + x 2 (\tan x)^{\prime}=\sec ^{2} x, \quad(\cot x)^{\prime}=-\csc ^{2} x, \quad(\arctan x)^{\prime}=\frac{1}{1+x^{2}}, \quad(\operatorname{arccot} x)^{\prime}=-\frac{1}{1+x^{2}} (tanx)′=sec2x,(cotx)′=−csc2x,(arctanx)′=1+x21,(arccotx)′=−1+x21
( sec x ) ′ = sec x tan x , ( csc x ) ′ = − csc x cot x (\sec x)^{\prime}=\sec x \tan x, \quad(\csc x)^{\prime}=-\csc x \cot x (secx)′=secxtanx,(cscx)′=−cscxcotx
常用等价无穷小
a x − 1 ∼ x ln a a^{x}-1 \sim x \ln a ax−1∼xlna
arcsin ( a ) x ∼ sin ( a ) x ∼ ( a ) x \arcsin (a) x \sim \sin (a) x \sim(a) x arcsin(a)x∼sin(a)x∼(a)x
arctan ( a ) x ∼ tan ( a ) x ∼ ( a ) x \arctan (a) x \sim \tan (a) x \sim(a) x arctan(a)x∼tan(a)x∼(a)x
ln ( 1 + x ) ∼ x \ln (1+x) \sim x ln(1+x)∼x
1 + x − 1 − x ∼ x \sqrt{1+x}-\sqrt{1-x} \sim x 1+x−1−x∼x
( 1 + a x ) b − 1 ∼ a b x (1+a x)^{b}-1 \sim a b x (1+ax)b−1∼abx
1 + a x b − 1 ∼ a b x \sqrt[b]{1+a x}-1 \sim \frac{a}{b} x b1+ax−1∼bax
1 − cos x ∼ x 2 2 1-\cos x \sim \frac{x^{2}}{2} 1−cosx∼2x2
x − ln ( 1 + x ) ∼ x 2 2 x-\ln (1+x) \sim \frac{x^{2}}{2} x−ln(1+x)∼2x2
tan x − sin x ∼ x 3 2 \tan x-\sin x \sim \frac{x^{3}}{2} tanx−sinx∼2x3
tan x − x ∼ x 3 3 \tan x-x \sim \frac{x^{3}}{3} tanx−x∼3x3
x − arctan x ∼ x 3 3 x-\arctan x \sim \frac{x^{3}}{3} x−arctanx∼3x3
x − sin x ∼ x 3 6 x-\sin x \sim \frac{x^{3}}{6} x−sinx∼6x3
arcsin x − x ∼ x 3 6 \arcsin x-x \sim \frac{x^{3}}{6} arcsinx−x∼6x3
常用麦克劳林公式
e x = 1 + x + x 2 2 ! + ⋯ + x n n ! + ⋯ = ∑ n = 0 ∞ x n n ! e^{x}=1+x+\frac{x^{2}}{2 !}+\cdots+\frac{x^{n}}{n !}+\cdots=\sum_{n=0}^{\infty} \frac{x^{n}}{n !} ex=1+x+2!x2+⋯+n!xn+⋯=∑n=0∞n!xn
sin x = x − 1 3 ! x 3 + ⋯ + ( − 1 ) n 1 ( 2 n + 1 ) ! x 2 n + 1 + ⋯ = ∑ n = 0 ∞ ( − 1 ) n x 2 n + 1 ( 2 n + 1 ) ! \sin x=x-\frac{1}{3 !} x^{3}+\cdots+(-1)^{n} \frac{1}{(2 n+1) !} x^{2 n+1}+\cdots=\sum_{n=0}^{\infty}(-1)^{n} \frac{x^{2 n+1}}{(2 n+1) !} sinx=x−3!1x3+⋯+(−1)n(2n+1)!1x2n+1+⋯=∑n=0∞(−1)n(2n+1)!x2n+1
cos x = 1 − 1 2 ! x 2 + ⋯ + ( − 1 ) n 1 ( 2 n ) ! x 2 n + ⋯ = ∑ n = 0 ∞ ( − 1 ) n x 2 n ( 2 n ) ! \cos x=1-\frac{1}{2 !} x^{2}+\cdots+(-1)^{n} \frac{1}{(2 n) !} x^{2 n}+\cdots=\sum_{n=0}^{\infty}(-1)^{n} \frac{x^{2 n}}{(2 n) !} cosx=1−2!1x2+⋯+(−1)n(2n)!1x2n+⋯=∑n=0∞(−1)n(2n)!x2n
ln ( 1 + x ) = x − 1 2 x 2 + ⋯ + ( − 1 ) n − 1 x n n + ⋯ = ∑ n = 0 ∞ ( − 1 ) n − 1 x n n , − 1 < x ≤ 1 \ln (1+x)=x-\frac{1}{2} x^{2}+\cdots+(-1)^{n-1} \frac{x^{n}}{n}+\cdots=\sum_{n=0}^{\infty}(-1)^{n-1} \frac{x^{n}}{n},-1<x \leq 1 ln(1+x)=x−21x2+⋯+(−1)n−1nxn+⋯=∑n=0∞(−1)n−1nxn,−1<x≤1
1 1 − x = 1 + x + x 2 + ⋯ + x n + ⋯ = ∑ n = 0 ∞ x n , ∣ x ∣ < 1 \frac{1}{1-x}=1+x+x^{2}+\cdots+x^{n}+\cdots=\sum_{n=0}^{\infty} x^{n},|x|<1 1−x1=1+x+x2+⋯+xn+⋯=∑n=0∞xn,∣x∣<1
1 1 + x = 1 − x + x 2 − ⋯ + ( − 1 ) n x n + ⋯ = ∑ n = 0 ∞ ( − 1 ) n x n , ∣ x ∣ < 1 \frac{1}{1+x}=1-x+x^{2}-\cdots+(-1)^{n} x^{n}+\cdots=\sum_{n=0}^{\infty}(-1)^{n} x^{n},|x|<1 1+x1=1−x+x2−⋯+(−1)nxn+⋯=∑n=0∞(−1)nxn,∣x∣<1
( 1 + x ) α = 1 + α x + α ( α − 1 ) 2 x 2 + o ( x 2 ) ( x → 0 , α ≠ 0 ) (1+x)^{\alpha}=1+\alpha x+\frac{\alpha(\alpha-1)}{2} x^{2}+o\left(x^{2}\right)(x \rightarrow 0, \alpha \neq 0) (1+x)α=1+αx+2α(α−1)x2+o(x2)(x→0,α=0)
tan x = x + 1 3 x 3 + o ( x 3 ) ( x → 0 ) \tan x=x+\frac{1}{3} x^{3}+o\left(x^{3}\right)(x \rightarrow 0) tanx=x+31x3+o(x3)(x→0)
arcsin x = x + 1 6 x 3 + o ( x 3 ) ( x → 0 ) \arcsin x=x+\frac{1}{6} x^{3}+o\left(x^{3}\right)(x \rightarrow 0) arcsinx=x+61x3+o(x3)(x→0)
arctan x = x − 1 3 x 3 + o ( x 3 ) ( x → 0 ) \arctan x=x-\frac{1}{3} x^{3}+o\left(x^{3}\right)(x \rightarrow 0) arctanx=x−31x3+o(x3)(x→0)
常用无穷级数
e x = 1 + x + x 2 2 ! + x 3 3 ! + … + x k k ! + … ( − ∞ < x < ∞ ) e^{x}=1+x+\frac{x^{2}}{2 !}+\frac{x^{3}}{3 !}+\ldots+\frac{x^{k}}{k !}+\ldots(-\infty<x<\infty) ex=1+x+2!x2+3!x3+…+k!xk+…(−∞<x<∞)
ln ( 1 + x ) = x − x 2 2 + x 3 3 − ⋯ + ( − 1 ) k − 1 x k k + ⋯ ( − 1 < x ≤ 1 ) \ln (1+x)=x-\frac{x^{2}}{2}+\frac{x^{3}}{3}-\cdots+\frac{(-1)^{k-1} x^{k}}{k}+\cdots(-1<x \leq 1) ln(1+x)=x−2x2+3x3−⋯+k(−1)k−1xk+⋯(−1<x≤1)
sin x = x − x 3 3 ! + x 5 5 ! − … + ( − 1 ) k − 1 x 2 k − 1 ( 2 k − 1 ) ! + … ( − ∞ < x < ∞ ) \sin x=x-\frac{x^{3}}{3 !}+\frac{x^{5}}{5 !}-\ldots+\frac{(-1)^{k-1} x^{2 k-1}}{(2 k-1) !}+\ldots(-\infty<x<\infty) sinx=x−3!x3+5!x5−…+(2k−1)!(−1)k−1x2k−1+…(−∞<x<∞)
cos x = 1 − x 2 2 ! + x 4 4 ! − … + ( − 1 ) k x 2 k ( 2 k ) ! + … ( − ∞ < x < ∞ ) \cos x=1-\frac{x^{2}}{2 !}+\frac{x^{4}}{4 !}-\ldots+\frac{(-1)^{k} x^{2 k}}{(2 k) !}+\ldots(-\infty<x<\infty) cosx=1−2!x2+4!x4−…+(2k)!(−1)kx2k+…(−∞<x<∞)
arcsin x = x + 1 2 ⋅ x 3 3 + 1 ⋅ 3 2 ⋅ 4 ⋅ x 5 5 + 1 ⋅ 3 ⋅ 5 2 ⋅ 4 ⋅ 6 ⋅ x 7 7 ⋯ + ( 2 k k ) x 2 k + 1 4 k ( 2 k + 1 ) + ⋯ ( ∣ x ∣ < 1 ) \arcsin x=x+\frac{1}{2} \cdot \frac{x^{3}}{3}+\frac{1 \cdot 3}{2 \cdot 4} \cdot \frac{x^{5}}{5}+\frac{1 \cdot 3 \cdot 5}{2 \cdot 4 \cdot 6} \cdot \frac{x^{7}}{7} \cdots+\frac{\left(\begin{array}{c}2 k \\ k\end{array}\right) x^{2 k+1}}{4^{k}(2 k+1)}+\cdots(|x|<1) arcsinx=x+21⋅3x3+2⋅41⋅3⋅5x5+2⋅4⋅61⋅3⋅5⋅7x7⋯+4k(2k+1)(2kk)x2k+1+⋯(∣x∣<1)
arccos x = π 2 − arcsin x = π 2 − ( x + 1 2 ⋅ x 3 3 + 1 ⋅ 3 2 ⋅ 4 ⋅ x 5 5 + ⋯ ) = π 2 − ∑ k = 0 ∞ ( 2 k k ) x 2 k + 1 4 k ( 2 k + 1 ) ( ∣ x ∣ < 1 ) \arccos x=\frac{\pi}{2}-\arcsin x=\frac{\pi}{2}-\left(x+\frac{1}{2} \cdot \frac{x^{3}}{3}+\frac{1 \cdot 3}{2 \cdot 4} \cdot \frac{x^{5}}{5}+\cdots\right)=\frac{\pi}{2}-\sum_{k=0}^{\infty} \frac{\left(\begin{array}{c}2 k \\ k\end{array}\right) x^{2 k+1}}{4^{k}(2 k+1)}(|x|<1) arccosx=2π−arcsinx=2π−(x+21⋅3x3+2⋅41⋅3⋅5x5+⋯)=2π−∑k=0∞4k(2k+1)(2kk)x2k+1(∣x∣<1)
arctan x = x − x 3 3 + x 5 5 − ⋯ + ( − 1 ) k x 2 k + 1 2 k + 1 + ⋯ ( ∣ x ∣ ≤ 1 ) \arctan x=x-\frac{x^{3}}{3}+\frac{x^{5}}{5}-\cdots+\frac{(-1)^{k} x^{2 k+1}}{2 k+1}+\cdots(|x| \leq 1) arctanx=x−3x3+5x5−⋯+2k+1(−1)kx2k+1+⋯(∣x∣≤1)
sinh x = x + x 3 3 ! + x 5 5 ! + … + x 2 k − 1 ( 2 k − 1 ) ! + … ( − ∞ < x < ∞ ) \sinh x=x+\frac{x^{3}}{3 !}+\frac{x^{5}}{5 !}+\ldots+\frac{x^{2 k-1}}{(2 k-1) !}+\ldots(-\infty<x<\infty) sinhx=x+3!x3+5!x5+…+(2k−1)!x2k−1+…(−∞<x<∞)
cosh x = 1 + x 2 2 ! + x 4 4 ! + … + x 2 k ( 2 k ) ! + … ( − ∞ < x < ∞ ) \cosh x=1+\frac{x^{2}}{2 !}+\frac{x^{4}}{4 !}+\ldots+\frac{x^{2 k}}{(2 k) !}+\ldots(-\infty<x<\infty) coshx=1+2!x2+4!x4+…+(2k)!x2k+…(−∞<x<∞)
arcsinh x = x − ( 1 2 ) x 3 3 + ( 1 ⋅ 3 2 ⋅ 4 ) x 5 5 − ( 1 ⋅ 3 ⋅ 5 2 ⋅ 4 ⋅ 6 ) x 7 7 + ⋯ + ( ( − 1 ) k ( 2 k ) ! 2 2 k k ! 2 ) ⋅ x 2 k + 1 2 k + 1 + ⋯ ( ∣ x ∣ < 1 ) \operatorname{arcsinh} x=x-\left(\frac{1}{2}\right) \frac{x^{3}}{3}+\left(\frac{1 \cdot 3}{2 \cdot 4}\right) \frac{x^{5}}{5}-\left(\frac{1 \cdot 3 \cdot 5}{2 \cdot 4 \cdot 6}\right) \frac{x^{7}}{7}+\cdots+\left(\frac{(-1)^{k}(2 k) !}{2^{2 k} k !^{2}}\right) \cdot \frac{x^{2 k+1}}{2 k+1}+\cdots(|x|<1) arcsinhx=x−(21)3x3+(2⋅41⋅3)5x5−(2⋅4⋅61⋅3⋅5)7x7+⋯+(22kk!2(−1)k(2k)!)⋅2k+1x2k+1+⋯(∣x∣<1)
arctanh x = x + x 3 3 + x 5 5 + ⋯ + x 2 k + 1 2 k + 1 + ⋯ ( ∣ x ∣ < 1 ) \operatorname{arctanh} x=x+\frac{x^{3}}{3}+\frac{x^{5}}{5}+\cdots+\frac{x^{2 k+1}}{2 k+1}+\cdots(|x|<1) arctanhx=x+3x3+5x5+⋯+2k+1x2k+1+⋯(∣x∣<1)
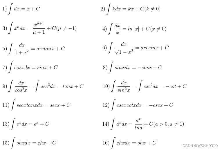
基本积分表

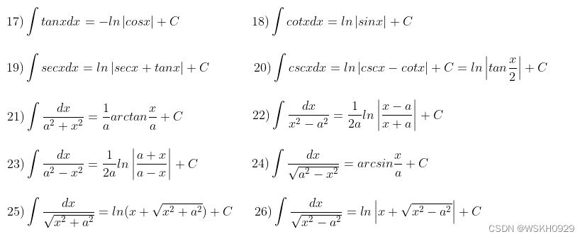
基本积分表的扩充

更多推荐




所有评论(0)