
简介
该用户还未填写简介
擅长的技术栈
未填写擅长的技术栈
可提供的服务
暂无可提供的服务
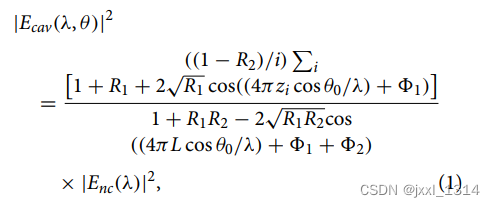
OLED光学理论计算和相关材料选择考量
介绍顶发射OLED器件相关理论计算和材料选择考量点

FDTD叠层结构光学计算概述
简单介绍了用于平面波照明和偶极子发生的堆栈结构中透过率和反射率的计算,相关注意事项,以及提供一些参考链接,方便进一步了解相关模拟和计算。

FDTD中远场投影总结学习
FDTD中远场投影概述介绍,及什么条件下可以使用远场投影函数进行场计算,并举例进行说明

matlab中gradient函数说明
介绍matlab中gradient函数的语法,和相关算法,并举例进行详细说明,有助于大家了解和运用gradient函数。
到底了








