
简介
该用户还未填写简介
擅长的技术栈
未填写擅长的技术栈
可提供的服务
暂无可提供的服务
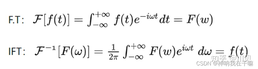
脉冲成形
脉冲成形就是通信原理中数字基带系统一章中介绍的无码间串扰传输特性的设计。在基带系统中,由于收发滤波器和信道特性不理想,导致了信号的码间串扰,即前面码元的时域波形出现很长的拖尾,蔓延到当前码元的抽样时刻,从而对当前码元的判决造成干扰。而如果能做到,在当前码元的抽样时刻,使得前面码元恰好为0,即可做到消除码间干扰。那么如何做到呢?这就要用到所谓脉冲成形技术。无码间串扰的条件:时域条件:转化为频域条件:
NOMA学习
在发送端,对同一子信道上的不同用户采用功率复用技术进行发送,不同用户的信号功率按照相关的算法进行分配,这样到达接受端每个用户的信号功率都不一样,SIC接收机再根据不同用户信号功率大小按照一定的顺序进行干扰消除,实现正确解调,同时也达到了区分用户的目的。对于User2来说,收到叠加信号时,先进行均衡(即通过信道估计出h2,并对接收信号乘以h2的逆),先解调出User1的信号,随后重构出User1的信

OFDM(这次必须记住!!!)
其中N为时域离散信号的点数,n为时域离散信号的编号(取值范围为0~N-1),m为频域信号的编号(取值范围为0~N-1),频域信号的点数也为N。这里其实有个隐含的条件,书中一般都没提到,就是作为承载信号的sin(t)和sin(2t),他们需要正交的话,其发送的时机是有严格限定的,即其0点的位置需要同步。在下面的图示中,在[0,2π]的时长内,采用最易懂的幅度调制方式传送信号:sin(t)传送信号a,

到底了







