测开之内存管理篇・《内存管理机制》
内存管理机制内存管理机制引用计数机制内存管理机制在python中创建对象的时候,首先会去申请内存地址,然后对这个对象进行初始化,所有的对象都会维护在一个叫做refachain的双向循环链表中,每个数据都保存如下信息:链表中数据前后数据的指针数据的类型数据值数据的引用计数数据的长度(list,dict…)引用计数机制引用计数增加:对象被创建对象被别的变量应用(另外起了一个名字)对象被作为元素,放在容
内存管理机制
在python中创建对象的时候,首先会去申请内存地址,然后对这个对象进行初始化,所有的对象都会维护在一个叫做 refachain 的双向循环链表中,每个数据都保存如下信息:
- 链表中数据前后数据的指针
- 数据的类型
- 数据值
- 数据的引用计数
- 数据的长度(list,dict…)

引用计数机制
引用计数增加:
- 对象被创建
- 对象被别的变量应用(另外起了一个名字)
- 对象被作为元素,放在容器中(比如被当着元素放在列表或者字典中)
- 对象被当成参数传递进函数中
引用计数的减少:
- 对象的别名被显式的销毁
- 对象的一个别名被赋值给其他对象(例如:原来的a=10,我们改成a=100,那么此时10的引用计数就减少了)
- 对象从容器中移除,或者容易被销毁(例:对象从列表中移除,或者列表被销毁)
- 一个引用离开了他的作用域(调用函数的时候传进去的参数,在函数运行结束后,该参数的引用被销毁)
上面这么描述可能有写抽象,下面我们通过实例具体查看一下
>>> a = 1000
>>> print(id(a))
140728749462288
首先当我们创建一个变量a的时候,此时python解释器会给a这个变量分配一个内存地址,我们可以看到上方a的内存地址是 140728749462288。
那么假设现在我们现在设置b 的a,然后使用 sys.getrefcount(a),查看这个a这个对应的引用计数,我们可以看到是3。
>>> a = 1000
>>> b = a
>>> sys.getrefcount(a)
3
为什么这里会变成3了,因为当我们a赋值一个变量时,此时引用计数是1次,然后我们使用b赋值等于a时,此时引用计数应该是2次,之所以是3次是因为 sys.getrefcount(a)自身是一个函数,那么当我们 对象被当成参数传递进函数中,因此引用计数为3。
那么剩下的我们也不难理解,当我们的对象放在列表、字典等容器中,会也计数一个。
数据池和缓存
小整数池
下面我们在来看一个非常有意思的现象:
>>> a = 1000
>>> b = 1000
>>> print(id(a))
2334204996144
>>> print(id(b))
2334204997136
首先,我们分别定义 a、b两个变量,此时设置的变量值是一致的,都是1000,我们去查看python底层分配的内存地址,可以看到他们的内存地址是不一样的。
那么下面我们将a和b的变量值,都改成1,再来看看:
>>> a = 1
>>> b = 1
>>> print(id(a))
140728749459120
>>> print(id(b))
140728749459120
那么我们来思考一下,为什么创建了两个不同的对象,但是内存地址却是一样的呢?
python自动将-5~256的整数进行了缓存到一个小整数池中,当你将这些整数赋值给变量时,并不会重新创建对象,而使用已经创建好的缓存对象,当删除这些数据的引用时,也不会进行回收。
Intern机制
那么此时假设我们的变量值包含数字、字母和符号,我们来查看一下他具体的内存空间分配
>>> a = 'acb23?'
>>> b = 'acb23?'
>>> print(id(a))
2334205039216
>>> print(id(a))
2334205039216
可以看到他们的内存地址也是一样的。这里我们需要了解一下 intern机制。
intern机制:它的优点是,在创建新的字符串对象时,会先在缓存池里面找是否有已经存在的相同值的对象(标识符、字母、下划线的字符串),如果有,则直接拿过来(引用),避免频繁的创建和销毁内存,提升效率。
Python中的ASCII码中的字符,分配的内存地址也是相同的。
缓存机制

- float、int、list等一些内置的数据类型,会缓存80个对象
- 元祖会根据元祖数据长度,分别缓存元祖长度0-20的对象
- 其他的类型缓存2个对象
垃圾回收机制
python的垃圾回收机智可以用一句话来形容: 引用技术机制为主,标记-清除和分代收集两种机制为辅策略。
引用计数
- 引用计数:在之前对象的引用我们讲到了,每个对象创建之后都会有一个引用计数,当引用技术为0的时候,那么此时垃圾回收机智会把他笑会,回收内存空间。
- 引用计数存在一个缺点,那就是当两个对象出现循环引用的时候,那么这两个变量始终不会被销毁,这样就会导致内存泄露。

标记清除

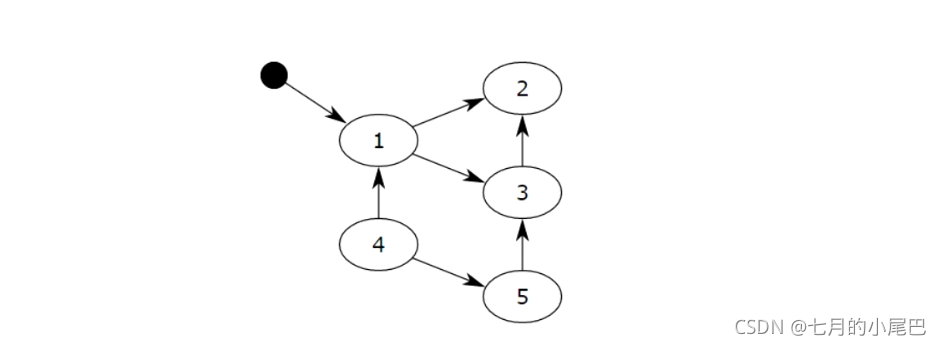
下面这里是关于标记清楚的截图,下面我会结合分代回收一起讲。
分代回收机制

首先,我们在python中,会判断当一个对象的引用计数达到700时,就会进行垃圾回收机制。当我们执行第0代链表时,标记清除会判断一个对象的变量引用是否是全局变量,如果是全局变量,那么会收集所有引用全局变量的直接变量和间接变量,这些变量将不会被标记清除。
我们现在来看上面标记清除的图片,假设上方的圆点是全局变量,那么1、2、3三个对象就是全局变量的直接变量和间接变量,那么在执行垃圾回收机制时,这三个对象的内存将不会被销毁。4和5并没有引用全局变量,因此在回收过程中,该变量会被清除。
当我们第0代链表执行结束之后,此时会在进入第一代链表,回收机制如上图所示,不在做赘述。
这里需要注意的是,当我们程序初始化的时候,python底层可能也会引用某些变量,并不是单单指的是我们程序中执行定义的变量的引用次数。
更多推荐



所有评论(0)