【纯干货分享】计算机毕业设计必看必学(SSM西双版纳橡胶林业资源管理系统小程序-58658)原创的定制程序,java、PHP、python、C#小程序、文案全套、毕设程序定制/毕设成品等等.
在系统管理方面,采用面向对象之开发模式来开发软件及架设硬体,可较好地符合实际使用之需要,并改善相应之软体架设与程序编码工作,取Mysql为后台数据主要存储单位,使用SSM框架,Java技术,对业务系统编码并对其进行开发,完成该系统所有功能。在本报告中,我们首先对本课题的研究背景,功能,意义进行分析,奠定本课题研究工作合理性的基础。
摘 要
信息化社会内需要与之针对性的信息获取途径,但是途径的扩展基本上为人们所努力的方向,由于站在的角度存在偏差,人们往往可以得到不同类型的信息,而这些信息正是科技最难克服的问题。本文从西双版纳橡胶林业资源管理系统小程序存在的问题等方面对西双版纳橡胶林业资源管理系统小程序进行了研究和分析,并在此基础上开发和设计了一套西双版纳橡胶林业资源管理系统小程序来解决这些问题。
在系统管理方面,采用面向对象之开发模式来开发软件及架设硬体,可较好地符合实际使用之需要,并改善相应之软体架设与程序编码工作,取Mysql为后台数据主要存储单位,使用SSM框架,Java技术,对业务系统编码并对其进行开发,完成该系统所有功能。在本报告中,我们首先对本课题的研究背景,功能,意义进行分析,奠定本课题研究工作合理性的基础。本文根据西双版纳橡胶林业资源管理系统小程序中存在的各种需求及技术问题,论证了该系统存在的必要性与技术可行性,进而对系统所需采用的技术软件和设计思想作了一个基本介绍,最终达到西双版纳橡胶林业资源管理系统小程序的设计,并对其进行部署操作使用。
关键词:JAVA开发语言;SSM框架技术;橡胶林业;微信小程序
Abstract
In the information society, there is a need for targeted information acquisition channels, but the expansion of channels is basically the direction of people's efforts. Due to the deviation in perspective, people often can obtain different types of information, which is the most difficult problem for technology to overcome. This article studies and analyzes the problems existing in the mini program of Xishuangbanna Rubber Forestry Resource Management System, and based on this, develops and designs a set of Xishuangbanna Rubber Forestry Resource Management System mini programs to solve these problems.
In terms of system management, adopting an object-oriented development model to develop software and install hardware can better meet the needs of practical use, and improve the corresponding software installation and program coding work. MySQL is used as the main storage unit for backend data, and SSM framework and Java technology are used to code and develop the business system, completing all functions of the system. In this report, we first analyze the research background, function, and significance of this topic, laying the foundation for the rationality of our research work. This article demonstrates the necessity and technical feasibility of the Xishuangbanna Rubber Forestry Resource Management System mini program based on various requirements and technical issues. It then provides a basic introduction to the technical software and design ideas required for the system, ultimately achieving the design of the Xishuangbanna Rubber Forestry Resource Management System mini program and deploying and operating it.
Key words:JAVA development language; SSM framework technology; Rubber forestry; WeChat mini program
目 录
第1章 绪论
1.1 研究背景与意义
随着科技的飞速发展,信息化管理已经成为各行各业提高效率、降低成本的重要手段。在林业领域,橡胶林业作为我国重要的经济作物之一,其资源管理对于保障国家粮食安全、促进经济发展具有重要意义。然而,传统的橡胶林业资源管理方式存在着诸多问题,如信息不对称、数据更新不及时、决策效率低下等,这些问题严重制约了橡胶林业的可持续发展。因此,研究并开发一套适用于西双版纳橡胶林业的资源管理系统小程序具有重要的现实意义。
首先,西双版纳地区是我国橡胶林业的主要产区之一,拥有丰富的橡胶资源。然而,由于地理环境复杂、气候多变等因素,橡胶林业的生产和管理面临着诸多挑战。因此,研究西双版纳橡胶林业资源管理系统小程序有助于提高该地区橡胶林业的生产效率和管理水平,为橡胶产业的发展提供有力支持。
其次,当前我国橡胶林业资源管理主要依赖于人工操作,这种方式存在着信息传递不畅、数据更新不及时等问题。而通过开发一套橡胶林业资源管理系统小程序,可以实现对橡胶林业生产数据的实时采集、分析和处理,提高数据的准确性和时效性,为决策者提供科学依据。
此外,橡胶林业资源管理系统小程序还可以实现对橡胶林资源的精细化管理。通过对橡胶林资源的分类、分区、分级管理,可以更加精确地掌握橡胶林的生长状况、病虫害发生情况等信息,为制定针对性的防治措施提供依据。同时,通过对橡胶林资源的动态监测和预测分析,可以为橡胶产业的可持续发展提供有力保障。
综上所述,研究西双版纳橡胶林业资源管理系统小程序具有重要的理论和实践意义。本研究旨在通过构建一套完善的橡胶林业资源管理系统小程序,为我国橡胶林业的可持续发展提供技术支持和决策参考。
1.2研究目的
本研究旨在开发一款西双版纳橡胶林业资源管理系统小程序,以提高橡胶林业资源的管理效率和可持续性。具体目标如下:
优化橡胶林业资源管理流程 通过对现有橡胶林业资源管理流程的梳理和分析,找出其中的瓶颈和不足之处,提出改进措施,以实现橡胶林业资源管理的高效运作。同时,利用现代信息技术手段,如物联网、大数据等,对橡胶林业资源管理流程进行优化升级,提高管理效率。
提高橡胶林业资源利用效率 通过建立橡胶林业资源管理系统小程序,实现对橡胶林地、橡胶树种植、橡胶采收等各环节的实时监控和数据分析,为决策者提供科学依据,有针对性地调整橡胶林业资源的开发利用策略,提高资源利用效率。
促进橡胶林业可持续发展 在优化橡胶林业资源管理流程和提高资源利用效率的基础上,关注橡胶林业生态环境的保护和恢复,推动橡胶林业向绿色、低碳、循环、可持续的方向发展。通过系统化、智能化的管理手段,降低橡胶林业生产过程中的资源消耗和环境污染,实现经济、社会和生态效益的协调发展。
第2章相关技术介绍
2.1B/S架构
B/S架构(浏览器/服务器)是当前应用最为广泛的一种架构,能够使系统的开发变得容易、易操作、易于维护。当你在你的电脑上安装一个数据库和几个非常常见的浏览器时,你就可以使用这个结构。B/S结构可以直接用于 B/S系统,并且 B/S架构可以在实际应用中大大降低了系统的运行维护。在 B/S平台上,各数据库彼此独立,具有很高的安全性。由于 B/S架构可以清晰地观察到系统所处理的业务,使管理者可以及时做出决定,从而避免了企业的亏损。B/S架构的本质特征是集中式管理,用户通过系统产生的数据,将其存入数据库,便于以后的应用,从而达到了各种需要。
B/S模型由一个浏览器、一个网络服务器、一个数据库服务器三个层级构成。数据管理采用了当前大部分现有B/S系统的表现层、应用层和数据层,Web浏览器是为了满足用户的要求而设计的,在数据处理和逻辑过程中使用的中间应用层,从而形成分布式的运行模式。B/S体系结构的逻辑是:在前端完成的处理,将主要的业务逻辑交给后台,而前端只负责少量的请求、渲染等。由于因特网技术的迅速发展,B/S体系结构使得任何时间、任何地点都能访问到该系统。
图2-1 B/S模式三层结构图
2.2SSM框架介绍
SSM(Spring+SpringMVC+MyBatis)框架集由Spring、MyBatis两个开源框架整合而成(SpringMVC是Spring中的部分内容)。常作为数据源较简单的web项目的框架。
1.8.1 Spring
Spring就像是整个项目中装配bean的大工厂,在配置文件中可以指定使用特定的参数去调用实体类的构造方法来实例化对象。也可以称之为项目中的粘合剂。
Spring的核心思想是IoC(控制反转),即不再需要程序员去显式地`new`一个对象,而是让Spring框架帮你来完成这一切。
1.8.2 SpringMVC
SpringMVC在项目中拦截用户请求,它的核心Servlet即DispatcherServlet承担中介或是前台这样的职责,将用户请求通过HandlerMapping去匹配Controller,Controller就是具体对应请求所执行的操作。SpringMVC相当于SSH框架中struts。
1.8.3 mybatis
mybatis是对jdbc的封装,它让数据库底层操作变的透明。mybatis的操作都是围绕一个sqlSessionFactory实例展开的。mybatis通过配置文件关联到各实体类的Mapper文件,Mapper文件中配置了每个类对数据库所需进行的sql语句映射。在每次与数据库交互时,通过sqlSessionFactory拿到一个sqlSession,再执行sql命令。
页面发送请求给控制器,控制器调用业务层处理逻辑,逻辑层向持久层发送请求,持久层与数据库交互,后将结果返回给业务层,业务层将处理逻辑发送给控制器,控制器再调用视图展现数据。

2.3MySQL数据库
数据库作为数据的存储地方是项目必须的,MySQL是一款非常优秀的关系型数据库,早期的MySQL并不是甲骨文公司的,后来才被他收购的。MySQL非常的小巧,安装包才几兆,sql语言的书写也比较容易学习,最重要的是MySQL同时也是一款开源的软件,所以不需要额外进行付费,本系统本身也是以学习总结所学知识为主,在系统的开发上最好尽量使用免费的软件,所以选用MySQL进行数据库管理。MySQL的容量也是非常大的,同时支持分库分表的操作,支持分布式,所以越来越多的中小企业选择该款数据库管理工具。另外值得一提的是,开源也有一个不好的地方,就是容易遭到破解和黑客攻击,所以MySQL在使用上还是更多的使用在中小项目中。
MySQL不会对平台有需求,所以任何一个程序员都可以通过 MySQL数据库来完成自己的系统开发,并且还可以节约大量的资源。因为它具有强大功能,所以可以用来储存这个系统的数据。
MySQL适合于各种应用,我们在运行数据库的时候,也很容易上手,我们只要编写一段代码,就可以完成相应的功能,并且可以在任何的平台上使用,而不需要再进行第二次的编译。MySQL数据库还具备在本地存储数据和允许结构化查询以方便管理的优势;MySQL是一个完全网络化的系统,它的数据库可以在互联网的任何位置被访问,它可以在任何地点与任何人分享;此外,MySQL也提供了存取控制的能力,可以阻止数据被非法使用,MySQL服务稳定,开发成本低,所以在开发过程中,MySQL数据库是最受欢迎的。
第3章系统分析
3.1可行性分析
可行性分析也是为了分析项目的开发系统是否对开发有价值,以及是否真的需要改进管理系统在信息听写方面的不足。以本项目西双版纳橡胶林业资源管理系统小程序的设计目标和实施过程为例,如果开发该系统,希望能很好地解决用户的管理信息问题,并且如果这使西双版纳橡胶林业资源管理系统小程序可以发展出最大价值学说,并且还可以变相的解决了用户在一定程度上的问题,那么这个项目的研发系统也就是最有价值有意义的系统。但研发目标又是不是达到了所期望的结果,以及科研任务在实现后的最大效用和价值,它是否等于所有总成本。因此,研发阶段本质上就是研发体系能否真正设计的阶段。
3.1.1技术可行性
技术可行性是指所确定的科学技术或决策方法中的科学技术均未突破组织掌握或相关人员熟悉的科学技术资源的界限。在技术研究过程中,应注意全面调查系统研发过程中包含的各种关键技术问题,尽可能选择成熟技术,认真引用先进技术,关注特定的研究平台和开发人员,评估关键技术的有效性。
JAVA技术对于该西双版纳橡胶林业资源管理系统小程序的设计和实施很是关键,基于B/S架构的和MySQL数据库管理,对于前台的应用和后台的数据库管理都是至关重要的,要想有效应用该程序,就需要保持功能全面、易懂易简单使用的特性。构建数据库管理时,需要确保数据分析信息完全、数据分析信息稳定性好、数据分析信息稳定性较高的库。在早期,人们对JAVA的基本重要知识点就有理解和熟悉,对MySQL数据库发生过简要的掌握、熟悉,在早期对软件工程测试,以及UML语言等基础课程发生过大致的掌握和练习,经过对上述课程练习,就能够对上述课程有相应的信息系统开发、检验和判断。
JAVA可以和MySQL结合起来研发一个西双版纳橡胶林业资源管理系统小程序,一定是合理而且有效的。
3.1.2操作可行性
西双版纳橡胶林业资源管理系统小程序的注册与登陆页面设计简洁容易应用,可以通过最常见的页面窗口来登陆页面,并利用过计算机实现登陆功能,因此使用者只要平时利用过计算机都可以实现登陆应用。此操作系统的研发工作环境运用了JAVA技术,并运用了B/S结构,这些研发工作环境都使得此系统功能更为完整,使整个设计更为个性化,使用者功能也更为简洁方便。本系统具备了易于运行、容易管理、交互性较好的优点,在实际操作上也是非常简单的。因此,本管理系统也可进行商业设计。
综上所述,该设备的研发符合技术、工艺和技术要求,因此其研发具有可操作性。
3.2系统功能需求
普通用户用例图如下所示。

图3-1 普通用户用例图
管理员用例图如下所示。

图3-2 管理员用例图
表3-1 个人信息管理用例描述
|
用例名称 |
管理和修改个人信息 |
|
参与者 |
用户 |
|
描述 |
用户查看、修改个人信息 |
|
前置条件 |
用户已登录到系统中 |
|
后置条件 |
无 |
|
事件流 |
(1)用户查看个人信息 (2)用户修改个人信息 |
|
补充说明 |
(a)用户可修改密码 (b)用户可修改个人资料,例如姓名,头像等 |
表3-1 评论用例描述
|
用例名称 |
评论 |
|
参与者 |
用户 |
|
描述 |
用户发表评论 |
|
前置条件 |
用户已登录 |
|
后置条件 |
评论内容不违规 |
|
事件流 |
(1)在评论页输入评论数据,提交评论 (2)更新并显示评论板 |
|
补充说明 |
(a)评论内容不能为空 |
表3-1 用户管理用例描述
|
描述项 |
说明 |
|
用例名称 |
用户操作 |
|
用例描述 |
管理员正确登录后台管理的条件下,对用户进行管理 |
|
参与者 |
管理员 |
|
前置条件 |
管理员登录成功并跳转到后台主界面 |
|
后置条件 |
操作成功 |
|
主事件流 |
管理员跳转用户管理页面,查询用户详情的信息 管理员可以删除用户信息 |
|
异常事件流 |
e1.报500错误 e2.数据库连接异常 |
表3-1 气象数据管理用例描述
|
描述项 |
说明 |
|
用例名称 |
气象数据操作 |
|
用例描述 |
管理员正确登录后台管理的条件下,对气象数据模块进行管理 |
|
参与者 |
管理员 |
|
前置条件 |
管理员成功登录 |
|
后置条件 |
操作成功 |
|
主事件流 |
(1)管理员进入气象数据管理页面,查询气象数据的信息 (2)管理员可以对气象数据进行增删除和编辑气象数据操作 (3)管理员新增气象数据,添加成功跳转到查询页面 |
|
异常事件流 |
e1.报500错误 e2.数据库连接异常 |
表3-1 橡胶记录管理用例描述
|
描述项 |
说明 |
|
用例名称 |
橡胶记录操作 |
|
用例描述 |
管理员正确登录后台管理的条件下,对橡胶记录模块进行管理 |
|
参与者 |
管理员 |
|
前置条件 |
管理员成功登录 |
|
后置条件 |
操作成功 |
|
主事件流 |
(1)管理员进入橡胶记录管理页面,查询橡胶记录的信息 (2)管理员可以对橡胶记录进行增删除和编辑橡胶记录操作 (3)管理员新增橡胶记录,添加成功跳转到查询页面 |
|
异常事件流 |
e1.报500错误 e2.数据库连接异常 |
第一,友好界面。西双版纳橡胶林业资源管理系统小程序开发设计,界面的友好性比较重要,满足这一要求才能体现出人性化设计特征,和用户应用系统便捷性相适应,动态的人机交互设计,用户应用系统的时候能感受到操作的便利,提高用户的体验良好感受,才能有助于将系统开采设计的作用价值充分发挥出来。
第二,稳定性要求。开发设计的西双版纳橡胶林业资源管理系统小程序,需要保持其稳定,系统应用稳定才能有助于各项管理工作高效率完成,提升系统使用体验度。系统运行保障因外部异常造成系统崩溃,系统发生问题后数据能及时备份,第一时间恢复数据信息,保障系统良好运行。
第三,可扩展性。西双版纳橡胶林业资源管理系统小程序的开发设计,需要满足可扩展性的要求,系统的设计需要考虑未来系统业务扩展问题,在测试不断应用下,功能需求会不断扩展,通过良好扩展性作用发挥,满足多样化的需要。
第4章系统设计
4.1总体结构设计
层次框图是一系列由多层矩形框架组成的树,其顶部为矩形框架,表示整个数据结构,下方的长方形立方体表示独立的数据,下方的长方形表示该数据的实际数据(不能进行分割)。由于这个架构的精炼,层级方块图描述的资料结构也愈加详尽,这个模型很好地满足了需求分析的要求。首先对最上层的信息进行分类,然后在图表中的每个路径上重复地进行优化,直至完整的数据结构被确定。
这个系统由三个模块组成,一是管理员,二是普通用户,最后是高级用户,这三个部分看起来是独立的,实际上却是连接着数据库,每个模块都有自己的权限,唯一不同的,就是访问的方式不同。在调研资料的基础上,完成了各个模块的功能。在对上述功能进行分析的基础上,本系统提出了三个主要的模块,每个单元可划分为若干小单元。
系统的功能结构图如下图所示。

图4-2 系统功能结构图
4.2功能模块设计
1.登录模块:
本西双版纳橡胶林业资源管理系统小程序的用户登录涉及到三类信息的判断:第一类是用户名和密码是否为空;第二类是验证码是否录入和正确;第三类就是用户登录信息、验证码和权限是否匹配通过。在该用户登录流程对会对用户名和密码是否为空进行判断,以及验证码是否正确进行判断,只有以上的几类信息中的一种存在问题的情况下都是无法登录成功的。
2.任务信息模块:
本西双版纳橡胶林业资源管理系统小程序中的任务信息,管理方式都是对信息的三种基本操作:一种是完成任务信息的添加,在这里会对任务信息的录入情况来判断;一种是对任务信息的修改,另一种就是对任务信息的删除。其后两种操作都是要建立在第一种操作而生成的任务列表的基础上完成的。
3.气象数据管理模块
气象数据管理模块:气象数据管理分为查询、添加、修改。气象数据由管理员进行
修改、添加、删除、查询操作。
4.3数据库设计
4.3.1概念设计
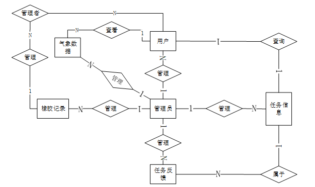
借助先进的系统,ER图使其他用户可以快速轻松地了解系统的功能以及他们之间的关系。根据西双版纳橡胶林业资源管理系统小程序分析结果,整个西双版纳橡胶林业资源管理系统小程序包括以下各个单元:管理员,普通用户,气象预警,任务反馈、任务结单、任务信息等。
系统的主要实体间关系E-R图如下图所示。

图4-3气象预警信息E-R关系图

图4-4 普通用户信息E-R关系图

图4-5 任务反馈E-R关系图

图4-6 任务信息E-R关系图

图4-7 任务结单信息E-R关系图
总体ER图如下图所示。

图4-8 总体ER图
4.3.2逻辑设计
所有系统的应用数据相互区分。一旦在相应的系统中实现,它们将与自己相应的网络和服务器通信。所以这个系统可以连接这些数据。当我们选择桥梁截面时,以下将简要介绍如何建立系统。在单击上一个按键的时候,就会自动在对话框中弹出数据源的名字,之后再单击下一个按键时,就在填写相对应的身份验证和登录信息。按照系统功能设计的特点与职能模块的分类,西双版纳橡胶林业资源管理系统小程序的总体设计和实施过程一共涉及到了几个资料表格。
以下就介绍了一些根据各类别主要数据库表的设计结构以及基本功能建立数据库表:
表advanced_users (高级用户)
|
编号 |
名称 |
数据类型 |
长度 |
小数位 |
允许空值 |
主键 |
默认值 |
说明 |
|
1 |
advanced_users_id |
int |
10 |
0 |
N |
Y |
高级用户ID |
|
|
2 |
name |
varchar |
64 |
0 |
Y |
N |
姓名 |
|
|
3 |
gender |
varchar |
64 |
0 |
Y |
N |
性别 |
|
|
4 |
unit |
varchar |
64 |
0 |
Y |
N |
单位 |
|
|
5 |
post |
varchar |
64 |
0 |
Y |
N |
职务 |
|
|
6 |
examine_state |
varchar |
16 |
0 |
N |
N |
已通过 |
审核状态 |
|
7 |
recommend |
int |
10 |
0 |
N |
N |
0 |
智能推荐 |
|
8 |
user_id |
int |
10 |
0 |
N |
N |
0 |
用户ID |
|
9 |
create_time |
datetime |
19 |
0 |
N |
N |
CURRENT_TIMESTAMP |
创建时间 |
|
10 |
update_time |
timestamp |
19 |
0 |
N |
N |
CURRENT_TIMESTAMP |
更新时间 |
|
编号 |
名称 |
数据类型 |
长度 |
小数位 |
允许空值 |
主键 |
默认值 |
说明 |
|
1 |
comment_id |
int |
10 |
0 |
N |
Y |
评论ID: |
|
|
2 |
user_id |
int |
10 |
0 |
N |
N |
0 |
评论人ID: |
|
3 |
reply_to_id |
int |
10 |
0 |
N |
N |
0 |
回复评论ID:空为0 |
|
4 |
content |
longtext |
2147483647 |
0 |
Y |
N |
内容: |
|
|
5 |
nickname |
varchar |
255 |
0 |
Y |
N |
昵称: |
|
|
6 |
avatar |
varchar |
255 |
0 |
Y |
N |
头像地址:[0,255] |
|
|
7 |
create_time |
timestamp |
19 |
0 |
N |
N |
CURRENT_TIMESTAMP |
创建时间: |
|
8 |
update_time |
timestamp |
19 |
0 |
N |
N |
CURRENT_TIMESTAMP |
更新时间: |
|
9 |
source_table |
varchar |
255 |
0 |
Y |
N |
来源表: |
|
|
10 |
source_field |
varchar |
255 |
0 |
Y |
N |
来源字段: |
|
|
11 |
source_id |
int |
10 |
0 |
N |
N |
0 |
来源ID: |
|
编号 |
名称 |
数据类型 |
长度 |
小数位 |
允许空值 |
主键 |
默认值 |
说明 |
|
1 |
meteorological_data_id |
int |
10 |
0 |
N |
Y |
气象数据ID |
|
|
2 |
date |
date |
10 |
0 |
Y |
N |
日期 |
|
|
3 |
weather |
varchar |
64 |
0 |
Y |
N |
天气 |
|
|
4 |
picture |
varchar |
255 |
0 |
Y |
N |
图片 |
|
|
5 |
humidity |
varchar |
64 |
0 |
Y |
N |
湿度 |
|
|
6 |
maximum_temperature |
varchar |
64 |
0 |
Y |
N |
最高温 |
|
|
7 |
lowest_temperature |
varchar |
64 |
0 |
Y |
N |
最低温 |
|
|
8 |
rainfall |
varchar |
64 |
0 |
Y |
N |
降雨量 |
|
|
9 |
wind_power |
varchar |
64 |
0 |
Y |
N |
风力 |
|
|
10 |
weather_condition |
text |
65535 |
0 |
Y |
N |
天气情况 |
|
|
11 |
hits |
int |
10 |
0 |
N |
N |
0 |
点击数 |
|
12 |
praise_len |
int |
10 |
0 |
N |
N |
0 |
点赞数 |
|
13 |
recommend |
int |
10 |
0 |
N |
N |
0 |
智能推荐 |
|
14 |
create_time |
datetime |
19 |
0 |
N |
N |
CURRENT_TIMESTAMP |
创建时间 |
|
15 |
update_time |
timestamp |
19 |
0 |
N |
N |
CURRENT_TIMESTAMP |
更新时间 |
表meteorological_warning (气象预警)
|
编号 |
名称 |
数据类型 |
长度 |
小数位 |
允许空值 |
主键 |
默认值 |
说明 |
|
1 |
meteorological_warning_id |
int |
10 |
0 |
N |
Y |
气象预警ID |
|
|
2 |
record_users |
int |
10 |
0 |
Y |
N |
0 |
记录用户 |
|
3 |
record_date |
date |
10 |
0 |
Y |
N |
记录日期 |
|
|
4 |
alert_date |
date |
10 |
0 |
Y |
N |
预警日期 |
|
|
5 |
warning_data |
text |
65535 |
0 |
Y |
N |
预警数据 |
|
|
6 |
response_measures |
text |
65535 |
0 |
Y |
N |
应对措施 |
|
|
7 |
alert_users |
int |
10 |
0 |
Y |
N |
0 |
预警用户 |
|
8 |
unit |
varchar |
64 |
0 |
Y |
N |
单位 |
|
|
9 |
post |
varchar |
64 |
0 |
Y |
N |
职务 |
|
|
10 |
recommend |
int |
10 |
0 |
N |
N |
0 |
智能推荐 |
|
11 |
create_time |
datetime |
19 |
0 |
N |
N |
CURRENT_TIMESTAMP |
创建时间 |
|
12 |
update_time |
timestamp |
19 |
0 |
N |
N |
CURRENT_TIMESTAMP |
更新时间 |
表ordinary_users (普通用户)
|
编号 |
名称 |
数据类型 |
长度 |
小数位 |
允许空值 |
主键 |
默认值 |
说明 |
|
1 |
ordinary_users_id |
int |
10 |
0 |
N |
Y |
普通用户ID |
|
|
2 |
user_name |
varchar |
64 |
0 |
Y |
N |
用户姓名 |
|
|
3 |
user_gender |
varchar |
64 |
0 |
Y |
N |
用户性别 |
|
|
4 |
examine_state |
varchar |
16 |
0 |
N |
N |
已通过 |
审核状态 |
|
5 |
recommend |
int |
10 |
0 |
N |
N |
0 |
智能推荐 |
|
6 |
user_id |
int |
10 |
0 |
N |
N |
0 |
用户ID |
|
7 |
create_time |
datetime |
19 |
0 |
N |
N |
CURRENT_TIMESTAMP |
创建时间 |
|
8 |
update_time |
timestamp |
19 |
0 |
N |
N |
CURRENT_TIMESTAMP |
更新时间 |
表rubber_records (橡胶记录)
|
编号 |
名称 |
数据类型 |
长度 |
小数位 |
允许空值 |
主键 |
默认值 |
说明 |
|
1 |
rubber_records_id |
int |
10 |
0 |
N |
Y |
橡胶记录ID |
|
|
2 |
record_users |
int |
10 |
0 |
Y |
N |
0 |
记录用户 |
|
3 |
record_date |
date |
10 |
0 |
Y |
N |
记录日期 |
|
|
4 |
rubber_condition |
text |
65535 |
0 |
Y |
N |
橡胶情况 |
|
|
5 |
illness_situation |
text |
65535 |
0 |
Y |
N |
生病情况 |
|
|
6 |
pest_infestation_situation |
text |
65535 |
0 |
Y |
N |
虫害情况 |
|
|
7 |
related_images |
varchar |
255 |
0 |
Y |
N |
相关图片 |
|
|
8 |
recommend |
int |
10 |
0 |
N |
N |
0 |
智能推荐 |
|
9 |
create_time |
datetime |
19 |
0 |
N |
N |
CURRENT_TIMESTAMP |
创建时间 |
|
10 |
update_time |
timestamp |
19 |
0 |
N |
N |
CURRENT_TIMESTAMP |
更新时间 |
表task_classification (任务分类)
|
编号 |
名称 |
数据类型 |
长度 |
小数位 |
允许空值 |
主键 |
默认值 |
说明 |
|
1 |
task_classification_id |
int |
10 |
0 |
N |
Y |
任务分类ID |
|
|
2 |
task_category |
varchar |
64 |
0 |
Y |
N |
任务类别 |
|
|
3 |
recommend |
int |
10 |
0 |
N |
N |
0 |
智能推荐 |
|
4 |
create_time |
datetime |
19 |
0 |
N |
N |
CURRENT_TIMESTAMP |
创建时间 |
|
5 |
update_time |
timestamp |
19 |
0 |
N |
N |
CURRENT_TIMESTAMP |
更新时间 |
表task_feedback (任务反馈)
|
编号 |
名称 |
数据类型 |
长度 |
小数位 |
允许空值 |
主键 |
默认值 |
说明 |
|
1 |
task_feedback_id |
int |
10 |
0 |
N |
Y |
任务反馈ID |
|
|
2 |
task_name |
varchar |
64 |
0 |
Y |
N |
任务名称 |
|
|
3 |
task_category |
varchar |
64 |
0 |
Y |
N |
任务类别 |
|
|
4 |
arrange_users |
int |
10 |
0 |
Y |
N |
0 |
布置用户 |
|
5 |
task_object |
int |
10 |
0 |
Y |
N |
0 |
任务对象 |
|
6 |
feedback_content |
text |
65535 |
0 |
Y |
N |
反馈内容 |
|
|
7 |
related_images |
varchar |
255 |
0 |
Y |
N |
相关图片 |
|
|
8 |
recommend |
int |
10 |
0 |
N |
N |
0 |
智能推荐 |
|
9 |
create_time |
datetime |
19 |
0 |
N |
N |
CURRENT_TIMESTAMP |
创建时间 |
|
10 |
update_time |
timestamp |
19 |
0 |
N |
N |
CURRENT_TIMESTAMP |
更新时间 |
表task_information (任务信息)
|
编号 |
名称 |
数据类型 |
长度 |
小数位 |
允许空值 |
主键 |
默认值 |
说明 |
|
1 |
task_information_id |
int |
10 |
0 |
N |
Y |
任务信息ID |
|
|
2 |
task_name |
varchar |
64 |
0 |
Y |
N |
任务名称 |
|
|
3 |
task_category |
varchar |
64 |
0 |
Y |
N |
任务类别 |
|
|
4 |
task_time |
varchar |
64 |
0 |
Y |
N |
任务时间 |
|
|
5 |
task_object |
int |
10 |
0 |
Y |
N |
0 |
任务对象 |
|
6 |
task_content |
text |
65535 |
0 |
Y |
N |
任务内容 |
|
|
7 |
arrange_users |
int |
10 |
0 |
Y |
N |
0 |
布置用户 |
|
8 |
unit |
varchar |
64 |
0 |
Y |
N |
单位 |
|
|
9 |
post |
varchar |
64 |
0 |
Y |
N |
职务 |
|
|
10 |
task_acceptance |
varchar |
64 |
0 |
Y |
N |
任务接单 |
|
|
11 |
recommend |
int |
10 |
0 |
N |
N |
0 |
智能推荐 |
|
12 |
create_time |
datetime |
19 |
0 |
N |
N |
CURRENT_TIMESTAMP |
创建时间 |
|
13 |
update_time |
timestamp |
19 |
0 |
N |
N |
CURRENT_TIMESTAMP |
更新时间 |
表task_statement (任务结单)
|
编号 |
名称 |
数据类型 |
长度 |
小数位 |
允许空值 |
主键 |
默认值 |
说明 |
|
1 |
task_statement_id |
int |
10 |
0 |
N |
Y |
任务结单ID |
|
|
2 |
task_name |
varchar |
64 |
0 |
Y |
N |
任务名称 |
|
|
3 |
task_category |
varchar |
64 |
0 |
Y |
N |
任务类别 |
|
|
4 |
task_object |
int |
10 |
0 |
Y |
N |
0 |
任务对象 |
|
5 |
arrange_users |
int |
10 |
0 |
Y |
N |
0 |
布置用户 |
|
6 |
closing_time |
varchar |
64 |
0 |
Y |
N |
结单时间 |
|
|
7 |
task_cycle |
varchar |
64 |
0 |
Y |
N |
任务周期 |
|
|
8 |
statement_summary |
text |
65535 |
0 |
Y |
N |
结单总结 |
|
|
9 |
recommend |
int |
10 |
0 |
N |
N |
0 |
智能推荐 |
|
10 |
create_time |
datetime |
19 |
0 |
N |
N |
CURRENT_TIMESTAMP |
创建时间 |
|
11 |
update_time |
timestamp |
19 |
0 |
N |
N |
CURRENT_TIMESTAMP |
更新时间 |
第5章系统实现
5.1登录模块的实现
用户登录的验证将不再局限于登录信息和权限的匹配验证,而是另外增加了一个验证码,只有界面上所有的编辑框数据都准确的情况下才能实现登录成功。管理员的登录和前台用户登录是一样的过程,其主要就是利用权限字段来完成对用户或管理员的角色识别。
用户登录流程图如下所示。

图5-1 用户登录流程图
登录界面如下图所示。

图5-1 登录界面
登录关键代码如下:
/**
* 登录
* @param data
* @param httpServletRequest
* @return
*/
@PostMapping("login")
public Map<String, Object> login(@RequestBody Map<String, String> data, HttpServletRequest httpServletRequest) {
log.info("[执行登录接口]");
String username = data.get("username");
String email = data.get("email");
String phone = data.get("phone");
String password = data.get("password");
List resultList = null;
QueryWrapper wrapper = new QueryWrapper<User>();
Map<String, String> map = new HashMap<>();
if(username != null && "".equals(username) == false){
map.put("username", username);
resultList = service.selectBaseList(service.select(map, new HashMap<>()));
}
else if(email != null && "".equals(email) == false){
map.put("email", email);
resultList = service.selectBaseList(service.select(map, new HashMap<>()));
}
else if(phone != null && "".equals(phone) == false){
map.put("phone", phone);
resultList = service.selectBaseList(service.select(map, new HashMap<>()));
}else{
return error(30000, "账号或密码不能为空");
}
if (resultList == null || password == null) {
return error(30000, "账号或密码不能为空");
}
//判断是否有这个用户
if (resultList.size()<=0){
return error(30000,"用户不存在");
}
User byUsername = (User) resultList.get(0);
Map<String, String> groupMap = new HashMap<>();
groupMap.put("name",byUsername.getUserGroup());
List groupList = userGroupService.selectBaseList(userGroupService.select(groupMap, new HashMap<>()));
if (groupList.size()<1){
return error(30000,"用户组不存在");
}
UserGroup userGroup = (UserGroup) groupList.get(0);
//查询用户审核状态
if (!StringUtils.isEmpty(userGroup.getSourceTable())){
String res = service.selectExamineState(userGroup.getSourceTable(),byUsername.getUserId());
if (res==null){
return error(30000,"用户不存在");
}
if (!res.equals("已通过")){
return error(30000,"该用户审核未通过");
}
}
//查询用户状态
if (byUsername.getState()!=1){
return error(30000,"用户非可用状态,不能登录");
}
String md5password = service.encryption(password);
if (byUsername.getPassword().equals(md5password)) {
// 存储Token到数据库
AccessToken accessToken = new AccessToken();
accessToken.setToken(UUID.randomUUID().toString().replaceAll("-", ""));
accessToken.setUser_id(byUsername.getUserId());
tokenService.save(accessToken);
// 返回用户信息
JSONObject user = JSONObject.parseObject(JSONObject.toJSONString(byUsername));
user.put("token", accessToken.getToken());
JSONObject ret = new JSONObject();
ret.put("obj",user);
return success(ret);
} else {
return error(30000, "账号或密码不正确");
}
}
public String select(Map<String,String> query,Map<String,String> config){
StringBuffer sql = new StringBuffer("select ");
sql.append(config.get(FindConfig.FIELD) == null || "".equals(config.get(FindConfig.FIELD)) ? "*" : config.get(FindConfig.FIELD)).append(" ");
sql.append("from ").append("`").append(table).append("`").append(toWhereSql(query, "0".equals(config.get(FindConfig.LIKE))));
if (config.get(FindConfig.GROUP_BY) != null && !"".equals(config.get(FindConfig.GROUP_BY))){
sql.append("group by ").append(config.get(FindConfig.GROUP_BY)).append(" ");
}
if (config.get(FindConfig.ORDER_BY) != null && !"".equals(config.get(FindConfig.ORDER_BY))){
sql.append("order by ").append(config.get(FindConfig.ORDER_BY)).append(" ");
}
if (config.get(FindConfig.PAGE) != null && !"".equals(config.get(FindConfig.PAGE))){
int page = config.get(FindConfig.PAGE) != null && !"".equals(config.get(FindConfig.PAGE)) ? Integer.parseInt(config.get(FindConfig.PAGE)) : 1;
int limit = config.get(FindConfig.SIZE) != null && !"".equals(config.get(FindConfig.SIZE)) ? Integer.parseInt(config.get(FindConfig.SIZE)) : 10;
sql.append(" limit ").append( (page-1)*limit ).append(" , ").append(limit);
}
log.info("[{}] - 查询操作,sql: {}",table,sql);
return sql.toString();
}
public List selectBaseList(String select) {
List<Map<String,Object>> mapList = baseMapper.selectBaseList(select);
List<E> list = new ArrayList<>();
for (Map<String,Object> map:mapList) {
list.add(JSON.parseObject(JSON.toJSONString(map),eClass));
}
return list;
}
5.2用户模块的实现
5.2.1首页模块的实现
首页主要分别展示各个模块的最新动态,浏览者可以很清楚地看到不同模块的最新更新内容。并且系统首页每个部分可以跳转到相对应的模块,方便浏览者选择感兴趣的地方。
首页载入流程图如下所示。

图5-1 首页载入流程
首页界面如下图所示。

图5-1首页界面
5.2.2气象数据模块的实现
用户执行气象数据,并可以操作相关内容,例如查看,编辑。气象数据的添加操作是建立在气象数据信息的列表基础上,单击查看气象数据信息下的气象数据链接;然后单击“气象数据”进行添加,添加成功后的信息会载入到气象数据查询列表中。
气象数据流程如下图所示。

图5-1气象数据流程
气象数据界面如下图所示。

图5-1气象数据界面
5.2.3评论模块的实现
用户点击某个资讯进入橡胶资讯详细页,点击评论按钮进入评论页,提交评论信息,成功发布评论,管理员管理用户的评论信息。
发布评论流程图如下所示。

图5-1 发布评论流程图
发布评论界面如图所示。

图5-1 发布评论界面
5.3后台模块的实现
5.3.1用户管理模块的实现
用户通过注册了方可获得登录使用权限,此时选择注册用户选项,系统就会自动转到用户注册工作面,在注册该部分信息时系统会自动调用add函数,然后在给定的文本框中填写有关该用户的基础信息后选择确认即可完成注册。检索用户信息,在新增用户信息以后,在检索工具栏中填写对应的用户信息,系统就会将该用户有关的所有信息展示出来。
用户管理流程图如下所示。

图5-1 用户管理流程图
用户管理界面如下图所示。

图5-1 用户管理界面
用户管理关键代码如下:
@PostMapping("/add")
@Transactional
public Map<String, Object> add(HttpServletRequest request) throws IOException {
service.insert(service.readBody(request.getReader()));
return success(1);
}
@Transactional
public Map<String, Object> addMap(Map<String,Object> map){
service.insert(map);
return success(1);
}
5.3.2气象数据管理模块的实现
管理员执行气象数据管理,并可以操作相关内容,例如添加,查看,编辑和删除。通过单击“添加气象数据”,可以通过气象数据添加界面添加详细信息并添加气象数据注释。单击查看字段级别链接以查看有关所选字段级别的信息。然后单击“提交”跳转重返到添加页面。添加成功后的信息会载入到气象数据查询列表中,管理员可进行编辑以及修改。
气象数据管理流程如下图所示。

图5-1 气象数据管理流程
气象数据管理界面如下图所示。

图5-1 气象数据管理界面
气象数据管理关键代码如下:
@RequestMapping(value = "/del")
@Transactional
public Map<String, Object> del(HttpServletRequest request) {
service.delete(service.readQuery(request), service.readConfig(request));
return success(1);
}
5.3.3通知提醒管理模块的实现
在主页左侧菜单栏中点击“通知管理”按钮,再从二级目录中点击“新增通知”按钮,进入到新增通知界面。在此处通知提醒可以添加通知提醒的标题、类型、图片。
在主页左侧菜单栏中点击“通知提醒管理”按钮,再从二级目录中点击“查询通知提醒”按钮,进入到查询通知提醒界面。在此处通知提醒可以查询当前所有通知记录。
通知提醒展示界面如下图所示。

图5-1 通知提醒展示界面

图5-1通知提醒添加界面
5.3.4任务信息管理模块的实现
管理员执行任务信息管理,并可以操作相关内容,例如添加,查看,编辑和删除。通过单击“添加任务信息”,可以通过任务信息添加界面添加详细信息。单击查看字段级别链接以查看有关所选字段级别的信息。然后单击“提交”跳转重返到添加页面。添加成功后的信息会载入到任务信息查询列表中,管理员可进行编辑以及修改。
任务信息添加流程图如下所示。

图5-1 任务信息添加流程图
任务信息查询如下图所示。

图5-1 任务信息查询界面
任务信息关键代码如下:
@RequestMapping("/get_obj")
public Map<String, Object> obj(HttpServletRequest request) {
List resultList = service.selectBaseList(service.select(service.readQuery(request), service.readConfig(request)));
if (resultList.size() > 0) {
JSONObject jsonObject = new JSONObject();
jsonObject.put("obj",resultList.get(0));
return success(jsonObject);
} else {
return success(null);
}
}
第6章系统测试
6.1测试目的
在这个产品被投入使用前,首先需要进行试用,这是重要的环节。考虑到某个部分的开发没有缺陷情况下,把各种模块拼接,也有一定概率就存在矛盾。这就好比每个人都很独特,但聚在一起就显得杂乱无章,需要保证有默契的配合。对于测试,要看它的各项内容是否契合的原则。若与最初定下的标准有一定程度上的出入,那么就需要做出一些调整,让最终的大方向朝着目标前进。
测试是为了发现在开发的程序中所存在的问题,测试这一工作是非常艰巨的,而又是非常困难的,这一部分在程序的设计中占有很大比例,可以说一个程序的开发工作量要是占据了百分至六十,那么剩下的百分之四十必然是测试这一部分,甚至更高。
6.2测试用例
6.2.1用户登录功能测试
表6-1 用户登录功能测试表
|
用例名称 |
用户登录系统 |
|
目的 |
测试用户通过正确的用户名和密码可否登录功能 |
|
前提 |
未登录的情况下 |
|
测试流程 |
1) 进入登录页面 2) 输入正确的用户名和密码 |
|
预期结果 |
用户名和密码正确的时候,跳转到登录成功界面,反之则显示错误信息,提示重新输入 |
|
实际结果 |
实际结果与预期结果一致 |
6.2.2创建数据测试
在系统中,创建功能也是基础功能之一,因此创建功能的测试很有代表性。在此章节主要列举在创建时各种情况下系统结果的测试。由于系统涉及创建功能操作过多,因此将多处统称创建功能。
创建数据用例如下表所示。
表6-5 创建数据测试用例
|
测试用例编号 |
YL_05 |
|
|
测试用例名称 |
系统使用者进行创建数据 |
|
|
测试用例描述 |
使用者输入要创建的数据 |
|
|
系统入口 |
浏览器 |
|
|
步骤 |
预期结果 |
实际结果 |
|
输入完整并且格式正确的数据 |
提示“创建成功”,并显示所有数据 |
预期结果 |
|
核心位置数据但非必要位置不输入数据 |
提示“创建成功”,并显示所有数据 |
预期结果 |
|
核心数据位置不输入数据 |
提示“创建失败” |
预期结果 |
6.2.3修改数据测试
在系统中,修改功能是系统主要实现功能,因此修改功能的测试很有代表性。在此章节主要列举在修改时各种情况下系统结果的测试。由于系统涉及修改功能操作过多,因此将多处数据表记录修改和状态修改统称修改功能。
修改数据用例如下表所示。
表6-6 修改数据测试用例
|
测试用例编号 |
YL_06 |
|
|
测试用例名称 |
系统使用者进行修改数据 |
|
|
测试用例描述 |
使用者对可修改的数据项进行修改 |
|
|
系统入口 |
浏览器 |
|
|
步骤 |
预期结果 |
实际结果 |
|
将现有数据修改成正确的数据 |
提示“修改成功”,并显示所有数据 |
预期结果 |
|
将现有数据修改成错误的数据 |
提示“修改失败” |
预期结果 |
6.2.4查询数据测试
在系统中,查询功能是使用系统使用最多也是最基础的功能,因此查询功能的测试很有代表性。在此章节主要列举在查询时各种情况下系统结果的测试。
查询数据用例如下表所示。
表6-7 查询数据测试用例
|
测试用例编号 |
YL_05 |
|
|
测试用例名称 |
系统使用者进行查询数据 |
|
|
测试用例描述 |
全部查询以及输入关键词查询 |
|
|
系统入口 |
浏览器 |
|
|
步骤 |
预期结果 |
实际结果 |
|
界面自动查询全部 |
显示对应所有记录 |
预期结果 |
|
输入已存在且能匹配成功的关键字 |
显示所查询到的数据 |
预期结果 |
|
输入不存在的关键字 |
显示数据界面为空 |
预期结果 |
6.3测试结果
在本次测试的过程主要针对所有功能下的添加操作,修改操作和删除操作,并以真实数据一一进行相关功能项目的输入,最终能够保证每个项目涉及的功能都是能够正常运行,因此能够保证本次设计的,已实现的功能能够正常运行并且相关数据库的信息也同样保证正确。
结 论
在开发本西双版纳橡胶林业资源管理系统小程序之前我胸有成竹,觉得很简单,但在实际的开发中我发现了自身的很多问题,许多编程思想和方法都还没有掌握牢靠,比如Bootsatrp、Jquery、AJAX 、Spring、SpringMVC、mybeatis等许多Java Web开发技术,通过开发这个西双版纳橡胶林业资源管理系统小程序我成长了很多,懂得了做什么事情都要脚踏实地,不能眼高手低。
在开发西双版纳橡胶林业资源管理系统小程序的时候,我还意识到了在开发之前做好前期准备是必须的,只有准备充分,心里才能用有底气,然后需要在脑海中对想要实现的功能进行总体的规划,设计出系统的主要框架。做好这一步我们才能胸有成竹的经行开发项目。当设计框架了熟于心之后,需要思考本次编程所需的主要知识点和技术点,并充分学习。如此一来项目的开发才能循序渐进、如丝般顺滑,长久以往就能养成良好的开发习惯。一个程序好不好还要看出的bug多不多,如果在项目完成前做好bug的查验与预防可能发生的事故才能保证程序的稳定长久性运行。如果项目在完工后出现各种问题自己,那么在进入社会后,不仅会给公司团队带来麻烦和增加不必要的工作,还会导致客户流失,公司对自己的评价下降。
在本次项目中我也暴露了诸多问题。对于Java的编程知识有所欠缺,环境配置和算法上出现诸多问题,时常导致项目运行出错,或者目标的实现有问题。或者实现想法时算法未优化,使得代码冗长,程序运行不顺畅。
参考文献
[1]杨华,徐扬.MySQL数据库对中文编码支持的探讨[J].网络安全和信息化,2023(10):157-160.
[2]苏婉怡,揣小龙,王煜尧等.基于Java技术的考试系统设计与实现[J].无线互联科技,2023,20(14):75-77.
[3]李洋,刘婷.MySQL数据库安全加固技术的研究[J].科技与创新,2023(13):120-122.DOI:10.15913/j.cnki.kjycx.2023.13.035.
[4]李艳杰.MySQL数据库下存储过程的综合运用研究[J].现代信息科技,2023,7(11):80-82+88.DOI:10.19850/j.cnki.2096-4706.2023.11.019.
[5]程书玲.基于SSM框架的健康管理系统的设计及实现[J].黑龙江科学,2023,14(08):140-143.
[6]赵将.Java语言在计算机软件开发中的应用[J].数字技术与应用,2023,41(03):160-162.DOI:10.19695/j.cnki.cn12-1369.2023.03.46.
[7]张浩.SSM框架在Web应用开发中的设计与实现研究[J].电脑知识与技术,2023,19(08):52-54.DOI:10.14004/j.cnki.ckt.2023.0353.
[8]乔赟鸽凌.基于B/S结构和JAVA编程技术的高校档案管理系统设计[J].无线互联科技,2023,19(02):52-54.
[9]孙士兵. 基于SSM和虚拟现实的房屋装饰商务平台的设计[C]//上海筱虞文化传播有限公司.Proceedings of 2022 Engineering Technology Innovation and Management Seminar(ETIMS 2022).Proceedings of 2022 Engineering Technology Innovation and Management Seminar(ETIMS 2022),2022:276-278.DOI:10.26914/c.cnkihy.2022.075468.
[10]李亚君. 基于SSM框架的B2C电子商城系统的设计与实现[D].合肥工业大学,2022.DOI:10.27101/d.cnki.ghfgu.2022.000313.
[11]唐小玲.基于SSM框架的资质管理系统开发解析[J].科学技术创新,2022(26):80-83.
[12]彭彦霖,吴风华.塞罕坝林业资源管理系统[J].农业与技术,2021,41(23):36-40.DOI:10.19754/j.nyyjs.20211215011.
[13]Xinbin H,Yongbin B,Lisen Y, et al. Design and Implementation of Information System Based on Java Technology Platform[J]. Journal of Physics: Conference Series,2021,2033(1).
[14]庄广壬,陈建生,冼永乐等. 基于SSM框架的Restful服务开发方法与装置[P]. 广东省:CN112748908A,2021-05-04.
[15]张振中,徐志扬,李浩然.基于县级可定制化林业资源管理系统的设计与实现[J].华东森林经理,2020,34(03):58-64.
[16]Huang M T. Design and Implementation of App System for Legal Consulting Based on JAVA Technology[J]. Procedia Computer Science,2020,166(C).
致 谢
在此论文完成之际,感谢我的指导老师。在指导老师的网页设计课上,当时我学到了很多东西,这对于我实习过程中也打了一定的基础,而且指导老师对于我的设计也提出许多建议,并予以悉心的指导,对于一些细小的问题都耐心的指导我去完善,授予我写论文的心得,时常的鼓励我,另外感谢教导我完善此项目的前端同学,对于这个项目,我是边学习边实现完成的,有许多东西开始并不是很明白,但前端开发的同学非常耐心的引导我去将这个项目完成,在系统的后端开发中,所用到的后台开发技术也时常会给我讲解,助于我更好的将论文完成,在此对帮助到我的同学和一直予以教导的指导老师致以衷心的感谢,祝事业有成。
免费领取项目源码,请关注❥点赞收藏并私信博主,谢谢
免费领取项目源码,请关注❥点赞收藏并私信博主,谢谢
更多推荐

所有评论(0)